如果要实现web动画,通常有三个方式,第一是使用gif图,第二是使用CSS3中的transition和animation,第三是使用javascript。gif图一般交给美术去制作,不需要coding,js实现web动画是一个比较成熟的方案了,它的特点是兼容性好,能控制的动画效果多,适合制作复杂的动画效果。随着CSS3的浏览器支持程度越来越高,使用CSS3写web动画也成为一个流行的方式。
为了控制动画进行过程,CSS3为我们提供了缓动函数,分别为transition-timing-function和animition-timing-function (以下统称timing-function),通常用的是几个关键字属性:linear、ease、ease-in、ease-out、ease-in-out。
linear是线性动画;ease是默认的动画效果,特点是先快后慢,时间50%的时候已经完成80%的动画效果了;ease-in是动画进行过程中一直加速;ease-out是动画进行过程中一直减速;ease-in-out和ease很相似,都是先加速后减速,但是时间50%的时候完成动画的50%;一般来说,如果没太大的追求这些关键字就足够了。有这种想法的可以直接点击右上角的那个X了。
稍微高级一点的玩法是使用cubic-bezier,通过指定贝塞尔曲线的两个控制点控制缓动函数。其实三次贝塞尔曲线有四个控制点,然而对于CSS来说第一个控制点是(0,0),第四个控制点是(1,1),所以留给我们操作的只有两个控制点了。而且这两个控制点也是有限制的,横坐标∈[0,1],纵坐标可以大于1。上面几个关键字其实是预定义好的贝塞尔曲线。
这个贝塞尔曲线就是我们今天的主角。原始需求是:实现匀加/减速动画。最一开始的想法是使用js控制,好像也没什么难度,会高中物理的就能解决。后来我就想能不能用CSS实现这一效果,毕竟我的一个原则是能用CSS实现的绝对不用js。
先上图
用这张图说明一下对应的物理含义。横轴是时间进度,纵轴是动画进度。有高中物理水平的就能看得出来这不就是 路程-时间曲线嘛。所以曲线一阶导数的物理含义就是速度,二阶导数的物理含义就是加速度。想要实现匀加/减速动画,只要使二阶导数是一个不为零的常数就好了。
前方高能预警,大量数学出没,请做好战斗准备
三次贝塞尔曲线公式
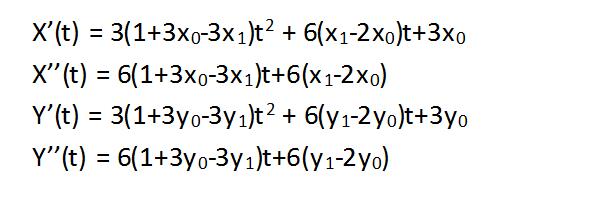
由于CSS的限制 P0为(0,0),P3为(1,1)将其带入方程并展开,可以得到对x,y方向的两个方程
我们得到的是两个参数方程。要想得到y对x的二阶导数,需要下面的公式
看不懂过程就不要在乎这些细节了,公式推导里有一步我应该曾经明白但我现在不明白。直接看结论,我们需要两个参数方程对t的一阶导数和二阶导数
于是便有了下面的几个式子
带入不明觉厉的公式,我们可以观察到,分母最高次项是六次,而分子最高次项是三次,要使结果为一个常数,六次项的系数要为零
于是我们得到了第一个公式
将第一个公式带入二阶导数中,我们会发现分母最高次项为3,分子最高此项为2,和上面类似的思路,我们可以得到第二个公式
两个方程联立我们可以解得
这样分母就是一个常数了,分子还有一个一次项,所以
同时
注意到
这篇文章最早由本喵发布在http://jiangshanmeta.github.io/post/cubicbezier/
共同學習,寫下你的評論
評論加載中...
作者其他優質文章










