生存分析的来历
生存分析(Survival Analysis)来源于基础医学领域,最早用来研究各种治疗方案对病人寿命的影响。而寿命则用一个end event(死亡)的方式衡量。基本定义如下:
T为标记事件发生的时间。
生存函数(Survival Function)。用来描述未发生end event的样本的比例随时间变化的趋势。
S(t)=P(T>t)
Hazard函数(Hazard Function)。描述end event发生的概率变化率。
λ(t)=limh0P(t≤T<t+h|T≥t)h
两个函数之间的关系:
S(t)=e−∫t0λ(s)ds
生存分析与新用户行为
然而,生存分析的定义本身让它和很多用户行为事件本身发生联系。譬如,用户流失和生存分析研究的概念完全一致,而常见的流失分析,可能会存在以下问题:
无法提供每一个时刻流失发生的概率
很难具有预测性
多个产品/A-B testing时很难互相做出定量比较。
而生存分析本身就会对以上三个内容做出预测,此外,对Customer Lifetime Value能提出一些更有价值的洞识。
但本文试图扩展生存分析的试用范围,任何具有触发时间特征的事件,都可以采用生存分析的方式做出分析,譬如:
用户留存
用户转化
用户点击
...
本文以常见的购买行为的转化为例,介绍生存分析的某些应用。
用户转化
代码以jupyter notebook的形式放在github这里。前期构思
本实例是研究,用户从注册时开始,随时间变化其转化率会有何种变化,考虑届时提供一些运营策略。常规计算本任务转化率的方式是:
转化率 = # 转化用户数 / # 总用户数数
这个转化率往往很难提供更多的洞识,我们无法给出自动化运营可以介入的时间要素。而生存分析从本质上说,恰恰是研究一个发生事件的概率随时间发生的变化,在此项任务中,事件显然就是转化。基于这种思想,我们做出如下分析。
数据样例
生存分析需要以一个用户为单位,提取参与实验的时间(这里就是注册时间),终止实验/end event发生时间(这里就是指数据采集的截止日期和用户发生转化的时间),以及最后是否发生end event的标记。
因此我们采集了如下数据。其中sex,birth_year,province三个字段用以后面的分析,duration则是到事件发生时总共花费的时间,即test_last_time - signup_time。
| user_id | signup_time | end_time | test_last_time | buy_time | sex | birth_year | province | have_bought | duration | |
|---|---|---|---|---|---|---|---|---|---|---|
| 0 | 513336 | 2017-10-30 21:58:04.323000 | 2017-10-30 22:03:54.430000 | 2018-06-01 00:00:00 | 2017-10-30 22:03:54.430000 | 女 | 1991 | 山东 | True | 0.00405216 |
| 1 | 513340 | 2017-10-30 22:14:35.853000 | 2017-10-30 22:45:10.243000 | 2018-06-01 00:00:00 | 2017-10-30 22:45:10.243000 | 男 | 1988 | 安徽 | True | 0.0212314 |
| 2 | 513353 | 2017-10-31 07:29:04.293000 | 2018-06-01 00:00:00 | 2018-06-01 00:00:00 | NaT | nan | nan | nan | False | 212.688 |
| 3 | 513370 | 2017-10-31 10:45:45.586000 | 2018-06-01 00:00:00 | 2018-06-01 00:00:00 | NaT | 女 | 1979 | 河南 | False | 212.552 |
| 4 | 513387 | 2017-10-31 13:00:32.360000 | 2017-10-31 13:09:38.100000 | 2018-06-01 00:00:00 | 2017-10-31 13:09:38.100000 | 女 | 1992 | 山东 | True | 0.00631644 |
分析转化率随注册后时间发生的变化
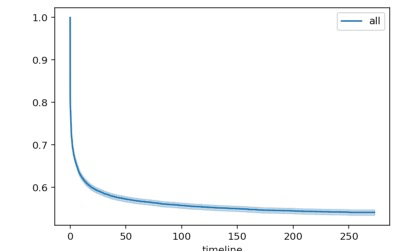
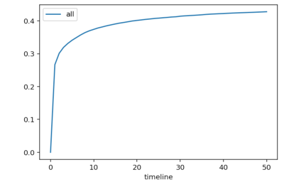
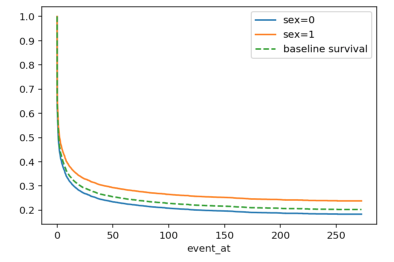
image-20180805225520337.png 显然,我们可以发现,在50天后,基本上变化不明显了,最初的50天内,用40%多的用户发生转化。当然,这一图示并不直观,我们可以用 image-20180805230116015.png 显然,这张图已经可以参与到运营决策中取了,图中显示,用户会在前10天内转化,后期变化不在明显。但我们可以通过生存分析得到更多有意思的结论。 一个例子就是分析不同产品的生存曲线图来分析产品之间的好坏(在此不做示范),一个就是用户本身特征对转化的影响。在此,我们以性别为例,分析性别对用户更早决定购买产品/转化之间有何有何关系。 image-20180805230614522.png image-20180805230718723.png 显然,我们从图中可以发现,女性更倾向于更快相信此产品,更早时间并且更多比例的发现转化。接下来,我们可以利用自带的 显然,差异是显著的。 在此,我们使用 image-20180805231451494.png 图中可以看出,转化率的变化在前5天内略微提高,随后断崖式减少,大概在20天左右区域和缓。换用运营的术语,前五天内用户对产品的信任度略微增加,使得更有可能购买产品;但超过五天还没有购买意愿的人,购买发生的可能性随时间递减。 一个可能的运营策略就是在第5天做出一些行为,增加用户的购买意愿,从而达到提高用户的生命周期的总价值。 当然,我们如同上面板块一样,也不叫一下性别差异。 image-20180805231922162.png 显然,女性建立信任的速度更快,但是大致都是以5天为界,在5天时没有发生购买行为,后期发生的概率会越来越小。 在此,我们还介绍一种对于不同变量对生存曲线影响的分析方法,并可以作为预测用户是否可能发生转化的模型—— λ(t,X)=λ0(t)exp(βX) 即假设待研究的变量不影响到生存模型的形状,而形状只有独立的 λ0(t) 决定(即只和时间有关)。对此,我们需要对变量进行形状上的验证来判断该模型的有效性。在此我们只做性别和用户年龄的回归分析。 上面已经验证过性别的转化率的形状,我们使用双对数绘制对年龄(出生年)的影响。 image-20180805233353267.png 结果不是很符合预设,但由于演示需要,假设数据符合我们的假定,而且我们仅做线性模型。 我们可以发现,sex影响的项更大,参数都是显著的。之后,我们就可以用 image-20180805234322978.png image-20180805234340974.png 显然,年龄越大、性别为女性越容易信任平台,更早的做出购买行为。 这里,我们用生存分析解决并使用在用户行为分析中。给出更多可能有助于运营以及理解用户画像的洞识结论。Python比较完整的支持生存分析的包是Liflines和1 - 未转化率=转化率的方式来重新绘制转化率曲线。(1 - kmf.survival_function_).plot()
ax = subplot(111) t = np.linspace(0, 50, 51) kmf.fit(df[df['sex'] == '男']['duration'], event_observed=df[df['sex'] == '男']['have_bought'], timeline=t, label="male") ax = kmf.plot(ax=ax) kmf.fit(df[df['sex'] == '女']['duration'], event_observed=df[df['sex'] == '女']['have_bought'], timeline=t, label="female") ax = kmf.plot(ax=ax) plt.ylim(0,1) plt.title("not buying rate between two gender");ax = subplot(111) t = np.linspace(0, 50, 51) kmf.fit(df[df['sex'] == '男']['duration'], event_observed=df[df['sex'] == '男']['have_bought'], timeline=t, label="male") ax = (1 - kmf.survival_function_).plot(ax=ax) kmf.fit(df[df['sex'] == '女']['duration'], event_observed=df[df['sex'] == '女']['have_bought'], timeline=t, label="female") ax = (1 - kmf.survival_function_).plot(ax=ax) plt.ylim(0,1) plt.title("conversion rate between two gender");log-rank test对两者是否差异显著做预测。logrank_test(event_times_A=df[df['sex']=='男']['duration'], event_observed_A=df[df['sex']=='男']['duration'], event_times_B=df[df['sex']=='女']['duration'], event_observed_B=df[df['sex']=='女']['duration'])
<lifelines.StatisticalResult: t_0=-1, alpha=0.95, null_distribution=chi squared, df=1 test_statistic p 82.2898 0.0000 *** --- Signif. codes: 0 '***' 0.001 '**' 0.01 '*' 0.05 '.' 0.1 ' ' 1 >
分析转化率的变化率
Nelson Aslen方法分析转化率的变化率随时间的变化(即Hazard函数)。naf = NelsonAalenFitter() naf.fit(df['duration'], event_observed=df['have_bought'], timeline=t, label='all') naf.plot_hazard(bandwidth=20)
生存分析的回归分析
Cox PH模型。其基本假设是:kmf0 = KaplanMeierFitter() kmf0.fit(cph_train_df[cph_train_df['birth_year'] == 1960]['duration'], event_observed=cph_train_df[cph_train_df['birth_year'] == 1960]['have_bought']) kmf1 = KaplanMeierFitter() kmf1.fit(cph_train_df[cph_train_df['birth_year'] == 1970]['duration'], event_observed=cph_train_df[cph_train_df['birth_year'] == 1970]['have_bought']) fig, axes = plt.subplots() kmf0.plot_loglogs(ax=axes) kmf1.plot_loglogs(ax=axes) axes.legend(['1960', '1970']) plt.show()
cph = CoxPHFitter() cph.fit(cph_train_df, duration_col='duration', event_col='have_bought', show_progress=True) cph.print_summary()
n=10000, number of events=7683 coef exp(coef) se(coef) z p lower 0.95 upper 0.95 birth_year -0.0084 0.9916 0.0010 -8.7945 0.0000 -0.0103 -0.0066 *** sex -0.1676 0.8457 0.0241 -6.9492 0.0000 -0.2149 -0.1203 *** --- Signif. codes: 0 '***' 0.001 '**' 0.01 '*' 0.05 '.' 0.1 ' ' 1 Concordance = 0.528 Likelihood ratio test = 124.891 on 2 df, p=0.00000
cph的相关函数对数据进行预测。我们在此用plot_covariate_group函数来展示不同属性的影响:cph.plot_covariate_groups('birth_year', [1960, 1970, 1980, 1990]) cph.plot_covariate_groups('sex', [0, 1])结语
References and Recommending Reading List
共同學習,寫下你的評論
評論加載中...
作者其他優質文章








