感知器
激活函数
神经网络
小结
本文从感知器开始讲起,引入激活函数,最后引出了神经网络的基本概念和思想,希望能帮助读者对神经网络有一个初步的了解!
感知器
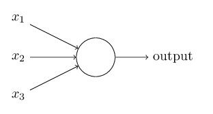
人工神经网络的第一个里程碑是感知机perceptron, 但感知器本质上是用来决策的。 一个感知机其实是对神经元最基本概念的模拟 ,都未必有多少网络概念,他就是一个自动做决策的机器。
感知器纯粹从数学的角度的上看,其实就可以理解为一个黑盒函数,接受若干个输入,产生一个输出的结果,这个结果就代表了感知器所作出的决策!
image.png
举一个简单的例子,假设我们需要判断小明同学是否喜欢一个女生,主要考虑有以下三个因素,女生的颜值(0-10分),女生的身材(0-10分),女生的性格(0-10分),那么对于一个女生我们只需要将这三个因素量化出来,输入到感知器中,然后就能得到感知器给我们决策的结果。而感知器内部决策的原理,其实就是给不同的因素赋予不同的权重,因为不同的因素的重要性对小明来说,自然是不相同的。然后设置一个阈值,如果加权计算之后的结果大于等于这个阈值,就说明可以判断为喜欢,否则则是不喜欢!所以感知器本质上就是一个通过加权计算函数进行决策的工具!
image.png
根据上面这个公式,我们可以进一步简化,将阈值移到不等式的一边,并且将其称为偏移,那么所有的问题就统一成了一个‘阈值’为0的问题!
image.png
偏移的意义其实就是阈值,你可以将偏移想象成使感知器如何更容易输出 1,或者用更加生物学术语,偏移是指衡量感知器触发的难易程度。对于一个大的偏移,感知器更容易输出 1。如果偏移负值很大,那么感知器将很难输出 1。
实际应用中的感知器模型往往更加复杂,如下图所示:
image.png
激活函数
感知器的学习过程就是通过改变感知器内部的权重和偏移,以使其的输出结果符合期望!但我们仔细观察前文的感知器模型,可以发现,每个感知器的输出可以看作是一个阶跃函数
image.png
只有两种输出结果,要么是0,要么是1
问题就出现了,这样的话,感知器似乎就变成了一个离散的函数!,如果我们稍微改变权重或者偏移,得到的结果就是要么不变,要么就感知器的输出彻底相反。而我们原本期望的是,每个感知器都对输出结果有一定的比重的贡献,单个感知器权重或偏移的变化应该是对输出结果产生微小影响的,而不是剧变。
image.png
另一方面来讲,感知器模型本质上恶意理解为函数的拟合,如果感知器的输出都是离散的二元状态,并且是前文简单的加权形式,也就是线性的,那么只能进行线性的拟合,不具备处理非线性问题的能力!
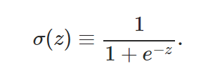
所以这个时候激活函数就出现了,激活函数就是在感知器加权计算之后,再输入到激活函数中进行计算,得到一个输出!
我们以常见的激活函数sigmoid函数为例,
image.png
加入激活函数之后,每个感知器的函数实际上就变成了如下形式
image.png
我们观察一下,此时感知器函数的图像
image.png
可以对比前文的阶跃的输出图像,我们将一个离散的输出变为一个连续的非线性的输出结果!同时,单个感知器权重和偏移的细微改变,只会对输出结果产生相应的平滑的影响,而不是阶跃式的影响!跟做人一样的道理,不要太武断,太极端,未加入激活函数的感知器模型,就属于非常极端的,要么0,要么1。而加入激活函数后,会是一个在0~1之间的值。
激活函数的理论解释
激活函数是用来加入非线性因素的,解决线性模型所不能解决的问题。
假设这么一个情景:
我们有这个需求,就是二分类问题,如我要将下面的三角形和圆形点进行正确的分类,如下图:
image.png
利用我们单层的感知机, 用它可以划出一条线, 把平面分割开:
image.png
该感知器实现预测的功能步骤如下,就是我已经训练好了一个感知器模型,后面对于要预测的样本点,带入模型中,如果y>0,那么就说明是直线的右侧,也就是正类(我们这里是三角形),如果y<0,那么就说明是直线的左侧,也就是负类(我们这里是圆形
好吧,很容易能够看出,我给出的样本点根本不是线性可分的,一个感知器无论得到的直线怎么动,都不可能完全正确的将三角形与圆形区分出来,那么我们很容易想到用多个感知器来进行组合,以便获得更大的分类问题,好的,下面我们上图,看是否可行:
image.png
好的,我们已经得到了多感知器分类器了,那么它的分类能力是否强大到能将非线性数据点正确分类开呢~我们来分析一下:
我们能够得到
image.png
化简后就是
image.png
不管它怎么组合,最多就是线性方程的组合,最后得到的分类器本质还是一个线性方程,该处理不了的非线性问题,它还是处理不了。
所以如果没有激活函数,那么感知器模型实际上就是在拟合一个线性方程而已,这样的话,能够解决的问题,自然就是太局限了!
激活函数的作用就出来了,将一个线性的函数变为一个非线性的函数!我们依然以最常用的sigmoid激活函数为例:
image.png
通过这个激活函数映射之后,输出很明显就是一个非线性函数!能不能解决一开始的非线性分类问题不清楚,但是至少说明有可能啊,上面不加入激活函数神经网络压根就不可能解决这个问题~
同理,扩展到多个神经元组合的情况时候,表达能力就会更强~对应的组合图如下:(现在已经升级为三个非线性感知器在组合了)
image.png
最后再通过最优化损失函数的做法,我们能够学习到不断学习靠近能够正确分类三角形和圆形点的曲线,到底会学到什么曲线,不知道到底具体的样子,也许是下面这个~
image.png
所以到这里为止,我们就解释了这个观点,加入激活函数是用来加入非线性因素的,解决线性模型所不能解决的问题。
神经网络
介绍了感知器和激活函数,实际上我们已经将神经网络的基本概念了解的差不多了。将感知器套上激活函数实际上就是神经网络。
和感知器模型一样,神经网络的基本单位是神经元,每个神经元分别接受输入和输出,但与感知器不同的是,除了进行加权计算,还需要利用激活函数输出!
假如我们有如下网络:
image.png
就像先前说的,网络的最左边一层被称为输入层,其中的神经元被称为输入神经元。最右边及输出层包含输出神经元,在这个例子中,只有一个单一的输出神经元。中间层被称为隐含层,因为里面的神经元既不是输入也不是输出。“隐含”这个术语可能听起来很神秘——当我第一次听到时候觉得一定有深层的哲学或者数学意义——但实际上它只表示“不是输入和输出”而已。上面的网络只包含了唯一个隐含层,但是一些网络可能有多层。比如,下面的4层网络具有2个隐含层:
image.png
神经网络的基本思想就是建立在感知器和激活函数上的。对于多个输入,在神经网络经过多个神经元计算之后,得到多个或者单个输出。检查输出结果是否与期望的一致,如果不一致,就对神经网络中神经元的权重进行调整,我们已经知道,神经元权重的细微调整会引起输出结果的细微变化,这样多个神经元组合起来,逐渐调整,直到符合预期的输出结果,我们就可以认为神经网络训练成功了!这里所说的训练调整的方法,利用到了梯度下降法,对神经网络进行反向传播,我们将在后续的文章进行详细的介绍!
小结
本文从感知器模型开始,继而引入激活函数,最后引出了神经网络的基本结构和思想,后续将会详细介绍神经网络自主学习的原理!
Further reading
作者:六尺帐篷
链接:https://www.jianshu.com/p/fa8d5ff9321a
共同學習,寫下你的評論
評論加載中...
作者其他優質文章


















