文相关代码可以从Backpropagation下载
在上一篇文章小白也能看懂的BP反向传播算法之Towards-Backpropagation,我们学习了如何利用函数的微分来更新变量值,是函数值发生相应的变化!
例如,对于函数
image.png
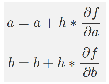
我们想要更新变量a,b的值使f的值增加,就可以根据以下公式来更新
image.png
实际上这就是反向传播的最基本的思想!我们试想假设f函数是一个代价函数,神经网络的训练就是将代价函数的值变小,那么就是问题就变成了,对于一个代价函数f,我们将改变f的变量,使其f能减小,而f不就是关于每个神经元权重和偏置的函数么,f = f(w,b)。只不过是代价函数的变量更多,函数形式更复杂,更新起来相对复杂,这个我们将在后面详细介绍!但其实反向传播的基本思想就是根据微分去更新!
接下来,我们就将问题慢慢复杂化,一步一步接近最终的神经网络中的反向传播!
前文中,我们利用的是一个神经元,这里我们讲问题变复杂,变成两个神经元,并且是有嵌套关系的两个神经元!如下图:
image.png
,将输入值相加然后输出到第二个神经元,同时第二个神经元还接受输入c,并将两个值相乘,最后输出!
这个简单网络的正向传播很容易写出来:
def product(x, y): return x * ydef addition(x, y): return x + ydef forward(a, b, c): d = addition(a, b) return product(d, c) print(forward(5, -6, 7))
Our aim is still the same as was in last post viz;we want to manipulate the values of our inputs a,b,c in such a way that the value of output fincreases.
现在开始我们的训练吧!
目标和之前一样,就是改变输入的a,b,c三个值,使函数f的值增加!之后我们就会发现,在这个过程中,我们会慢慢接触到反向传播的核心思想!
previous post.
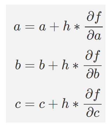
初看上去,这个网络似乎比之前的要复杂,但依照我们前一篇文章提出的思路!我们先看函数f,函数f是一个关于输入a,b,c的函数,想要让函数f的值增加,直接微分即可,然后加上步长与微分的乘积,如下:
image.png
所以,核心问题在此就变成怎么求解函数f关于a,b,c的微分!
我们不能向之前一个神经元那样直接计算,因为此处的神经元是相互嵌套的。我们将函数f反着往回写!
首先,与函数f直接关联的神经元,就是接受两个输入,一个来自第一个神经元的,一个来自输入c,我们把第一个神经元的输出记作d,那么函数f就可以写成
image.png
然后我们继续反着往前推,对于d,其实就是第一个神经元的输出,也就是可以直接写成:
image.png
这样我们就反向的把函数f简化成了两个函数:
image.png
熟悉微积分的朋友应该就知道,我们在此可以利用函数求微分的链式法则。
首先考虑
image.png
分别求微分之后,如下:
image.png
然后再对
image.png
求微分
image.png
现在我们有四个微分的值:
image.png
我们的目标是求取这三个微分的值:
image.png
Backpropagation
这个时候,就轮到链式法则出场了!
链式法则其实就是:
image.png
如我们所见,链式法则有点代数的特点;因为莱布尼兹的导数符号表明两个分式中的du可以消掉,所以这个公式很好记忆。如果我们将导数看作变化率的话,直观上也很容易理解:
如果y的变化速度是u的a倍,u的变化速度是x的b倍,那么y的变化速度是x的ab倍。
或者用日常用语来说,如果车的速度是自行车的两倍,自行车的速度是步行的四倍,那么车的速度是步行的2⋅4=8倍。
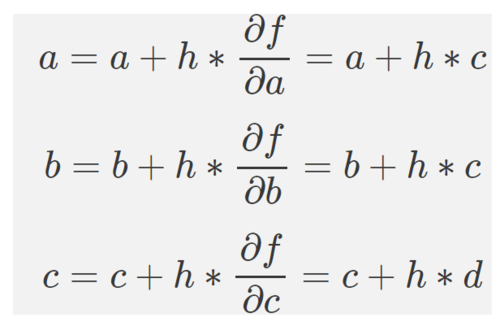
所以此处我们对a,b应用链式法则,就能求取出微分:
image.png
image.png
所以最后求出微分就是:
image.png
根据以上求出的微分,我们就能很好的写出变量的更新规则:
image.png
我们用python实现上面的更新的过程:
def product(x, y): return x * ydef addition(x, y): return x + ydef forward(a, b, c): d = addition(a, b) return product(d, c) print(forward(5, -6, 7))# output -7def update(a, b, c): d = addition(a, b) h = 0.01 derivative_f_d = c derivative_f_c = d derivative_d_a = 1 derivative_d_b = 1 derivative_f_a = derivative_f_d * derivative_d_a derivative_f_b = derivative_f_d * derivative_d_b a = a + h * derivative_f_a b = b + h * derivative_f_b c = c + h * derivative_f_c d = addition(a, b) return product(d, c) print(update(5, -6, 7))# output -6.0113999999999965
可以看到更新之后的输出确实增大了!说明我们现在已经可以实现嵌套神经元的变量参数的更新了!离真正的反向传播的又近了一步!
Why did it work?
接下来,我们深入整个更新的过程,一步步分析看看究竟更新的本质是什么。首先,我们从输入到输出,分析一遍,前向传播,输入值为a=5,b=-6,c=7,很容易发现,第一个神经元的输出为d为1,然后第二个神经元输出为-7,所以最后结果就是-7!这就是此网络前向传播的过程!
然后我们开始反向传播,从输出开始分析,我们现在的目标是将输出的值增大,输出值是由-1*7得到的,现在要增加输出值,我们先不看微分,显然就是增加-1,减少7,这样就能使他们的乘积变大!我们再来计算微分,微分结果就是增加d的值,减少c的值。我们继续反向推理,这里d的值又是有a,b的值决定的!我们现在的目标又变成了
对于第一个神经元,减少输出值,那么很显然,只要减少a和b的值就行了,我们运用链式法则求取a,b的微分,也能得到相同的结果!
我们可以看到,当我们反向传播的时候,一个神经元的输入会变成上一个神经元的输出,然后他们之间相互影响,从而使传播下去!
我们倒着从输出分析到输入的过程就是反向传播的过程!我们通过计算微分可以从输出到输入更新变量的值,以使得输出朝着我们期待的方向的变化!
待续
本文就在这里结束了!本文将前文的更新变量的算法扩展到嵌套的多个神经元中,并应用到了链式法则求微分!而且在这个过程中,其实我们已经逐渐接触到反向传播的基本思想!
下一篇文章,我们会将算法应用到一个标准的神经网络中,让我们看看真正的反向传播算法是什么样的!
本文相关代码可以从Backpropagation下载
作者:六尺帐篷
链接:https://www.jianshu.com/p/2e02bc6384a8
共同學習,寫下你的評論
評論加載中...
作者其他優質文章

















