sigmoid
Sigmoid函数,即f(x)=1/(1+e-x)。是神经元的非线性作用函数。
2.
函数:
1.1 从指数函数到sigmoid
首先我们来画出指数函数的基本图形:
从上图,我们得到了这样的几个信息,指数函数过(0,1)点,单调递增/递减,定义域为(−∞,+∞),值域为(0,+∞),再来我们看一下sigmoid函数的图像:
如果直接把e−x放到分母上,就与ex图像一样了,所以分母加上1,就得到了上面的图像,定义域是(−∞,+∞),值域是(0,1),那么就有一个很好地特性了,就是不管x是什么,都可以得到(0,1)之间的值;
1.2 对数函数与sigmoid
首先来看一下对数函数的图像:
对数函数的图像如上,单调递减,有一个比较好的特性就是在(0,1)之间,在接近0的时候,就近无穷大,接近1的时候为0,如果我们把前面的sigmoid函数放到自变量的位置上,就得到了(0,1)的图像;
我们如何来衡量一个结果与实际计算值得差距呢?一种思路就是,如果结果越接近,差值就越小,反之越大,这个函数就提供了这样一种思路,如果计算得到的值越接近1,那么那么表示与世界结果越接近,反之越远,所以利用这个函数,可以作为逻辑回归分类器的损失函数,如果所有的结果都能接近结果值,那么就越接近于0,如果所有的样本计算完成以后,结果接近于0,就表示计算结果与实际结果非常相近。
2、sigmoid函数求导
sigmoid导数具体的推导过程如下:
3、神经网络损失函数求导
神经网络的损失函数可以理解为是一个多级的复合函数,求导使用链式法则。
先来说一下常规求导的过程:
这是一个简单的复合函数,如上图所示,c是a的函数,e是c的函数,如果我们用链式求导法则,分别对a和b求导,那么就是求出e对c的导数,c对a的导数,乘起来,对b求导则是求出e分别对c和d的导数,分别求c和d对b的导数,然后加起来,这种方法使我们常规的做法,有一个问题就是,我们在求到的过程中,e对c求导计算了2次,如果方程特别复杂,那么这个计算量就变得很大,怎样能够让每次求导只计算一次呢?
如上图所示,我们从上往下开始计算,将每个单元的值计算出来,然后计算每个单元的偏导数,保存下来;
接下来继续计算子单元的值,子单元的偏导数,保存下来;将最后的子单元到根节点所在的路径的所有偏导乘起来,就是该函数对这个变量的偏导,计算的本质就是从上往下,计算的时候将值存起来,乘到后面的单元上去,这样每个路径的偏导计算只需要一次,从上到下计算一遍就得到了所有的偏导数。
实际上BP(Backpropagation,反向传播算法),就是如此计算的,如果现在有一个三层的神经网络,有输入、一个隐藏层,输出层,我们对损失函数求权重的偏导数,它是一个复杂的复合函数,如果先对第一层的权重求偏导,然后在对第二层的权重求偏导,会发现,其中有很多重复计算的步骤,就像上面的简单函数的示例,所以,为了避免这种消耗,我们采用的就是从后往前求偏导,求出每个单元的函数值,求出对应单元的偏导数,保存下来,一直乘下去,输入层。
下面用一个简单的示例来演示一下反向传播求偏导的过程:
那么我们会有两个初始的权重矩阵:
我们得到了上面的矩阵,现在我们以sigmoid函数作为激活函数,分别来计算每一层网络的激励(假设我们只有一个样本,输入是x1,x2,输出是y);
第一层是输入,激励就是样本的特征值;记为:
X0是偏置项,为1.
第二层是隐藏层,激励通过特征值与区中相乘得到,然后取sigmoid函数变换,得到

在上面,我们最后加上了偏置项;
接下来第三层是输出层:
因为是输出层了,所以不需要再往下计算,所以不加偏置项;
上面的计算流程,从输入到输出,我们也称为前向传播(Forward propagation)。
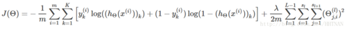
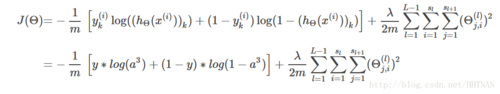
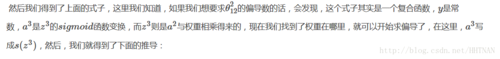
然后,我们根据损失函数,写出损失函数的公式,在这里,只有一个输入,一个输出,所以损失函数写出来较为简单:
在这里,m=1;
说明:
更多激活函数知识参考文献:https://www.jianshu.com/p/22d9720dbf1a
共同學習,寫下你的評論
評論加載中...
作者其他優質文章




















