在 Android 开发中,矩阵是一个功能强大并且应用广泛的神器,例如:用它来制作动画效果、改变图片大小、给图片加各类滤镜等。对于矩阵,Android 官方 SDK 为我们提供了一个强大的类 Matrix (还有 ColorMatrix )是一直困扰着我的问题,虽然大致能够调用相应的 API ,但却一直 get 不到其内在的梗。但是出来混总是别想着蒙混过关的,所以最近重新操起一年毕业的线性代数,再本着小事问老婆,大事问Google的心态,终于把多年不解的问题给破了。出于好记性不如烂笔头的原因,便有了本文。
读完本文,相信你能够搞明白以下三个问题:
为什么 Matrix 是个 3 X 3 的矩阵
Matrix 这个 3 X 3 的矩阵每个元素的作用
Matrix 的 setXXX、preXXX、postXXX API 方法的工作原理
Matrix 的结构
Matrix 是 Android SDK 提供的一个矩阵类,它代表一个 3 X 3 的矩阵(不懂矩阵为何物的童鞋就要自行 Google 了)。 Matrix 提供了让我们获得 Matrix 值的 API —— getValues
利用此 API 传入一个长度为 9 的 float 数组,即可获得矩阵中每个元素的值。那么这 9 个浮点数的作用和意义是什么呢,从 Android 官方文档上看,它为这个数组中的每一个元素都定义了一个下标常量
这个 9 个常量取值分别是 0 – 8
如果我们将这个 float 排成直观的矩阵格式,那它将是下面这样子的
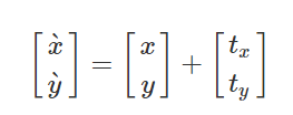
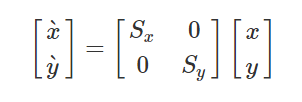
实际上我们平常利用 Matrix 来进行 Translate(平移)、Scale(缩放)、Rotate(旋转)的操作,就是在操作着这个矩阵中元素的数值来达到我们想要的效果。但是现在问题来了,上面提到的平移、缩放、旋转操作中,旋转和缩放可以用乘法表示,而平移就只能用加法表示,而且 Matrix 是一个 3 X 3 的矩阵,实际上表示这些操作 2 X 2 的矩阵足矣!
如上,可以依次看到平移、缩放、旋转的矩阵,其中
(x’,y’)表示执行操作后的点的坐标,(x,y)表示执行操作前的点的坐标
tx、ty 分别表示x轴、y轴上平移的距离,Sx、Sy 分别表示x轴、y轴上的缩放比例
θ 则表示旋转角度
至于上面矩阵的推导过程,网络上很多,这里就不去赘述了。以前到了这里,我就会很纳闷,为什么 2 X 2 矩阵能干的事情,偏偏要用 3 X 3 矩阵去做,直到遇到前面提到的两篇文章才有所领悟。
其实在计算机图形应用涉及到几何变换,主要包括平移、旋转、缩放。以矩阵表达式来计算这些变换时,平移是矩阵相加,旋转和缩放则是矩阵相乘。那些数学大神们为了方便计算,所以引入了一样神器叫做齐次坐标(不懂的童鞋,老规矩自行搜索),将平移的加法合并用乘法表示。所以,2 X 2 的矩阵经过一番变换后,成了下面这样的。
至此,我们可以得知为什么 Matrix 是一个 3 X 3 的矩阵,其实 2 X 2 的矩阵是足以表示的,不过是为了方便计算而合并写成了 3 X 3 的格式。
Matrix 元素的作用
一个 Matrix 共有 9 个元素,那么它每个元素的值发生改变会起到什么作用呢?按照前面所示的齐次坐标转换得到 3 X 3 的矩阵和 Android 文档提供的官方结构相对应,我们不难看出下面的对应关系(其实从 Matrix 中每个位置的常量命名也可以看出来):
从这我们可以看出这个 Matrix 结构中的每个参数发挥着如下作用:
MTRANS_X、MTRANS_Y 同时控制着 Translate
MSCALE_X、MSCALE_Y 同时控制着 Scale
MSCALE_X、MSKEW_X、MSCALE_Y、MSKEW_Y 同时控制着 Rotate
从名称上看,我们可以顺带看出 MSKEW_X、MSKEW_Y 同时控制着 Skew
如果要进行代码验证的话,也非常简单,例如直接只对 Matrix 做 Translate 的 API 调用操作,再将 Matrix 的信息打印到控制台,你会发现整个 Matrix 确实只有 MTRANS_X、MTRANS_Y 两个位置的数字在发生变化。其他 Scale、Rotate、Skew 操作也是一样,感兴趣的童鞋可以自行代码验证一番。
至此,我们可以大致弄清矩阵每个元素的作用。至于 MPERSP_0、MPERSP_1、MPERSP_2 这三个参数,目前暂时不得而知,网上有文章说这三个参数控制着透视变换,但是文档和 API 上都没怎么提及,所以还是有待验证研究的,有明白的童鞋不妨留言赐教一下,不胜感激。
理解 Matrix API 调用
按照第一小节里面通过齐次坐标转换而来的矩阵方程可以知道,假设一根线执行了平移操作,相当于线上每个点的坐标被下方的矩阵左乘。(缩放和旋转操作也是同理)
如果要进行同时缩放、平移之类的符合变化操作,也无非就是选取相应的矩阵做左乘操作。为了加深矩阵变换对应 Matrix API 调用的理解,直接通过下面的一个自定义的动画效果和代码来讲解好了。
public class SimpleCustomAnimation extends Animation { private int mWidth, mHeight; @Override
public void initialize(int width, int height, int parentWidth, int parentHeight) { super.initialize(width, height, parentWidth, parentHeight); this.mWidth = width; this.mHeight = height;
} @Override
protected void applyTransformation(float interpolatedTime, Transformation t) {
Matrix matrix = t.getMatrix();
matrix.preScale(interpolatedTime, interpolatedTime);//缩放
matrix.preRotate(interpolatedTime * 360);//旋转
//下面的Translate组合是为了将缩放和旋转的基点移动到整个View的中心,不然系统默认是以View的左上角作为基点
matrix.preTranslate(-mWidth / 2, -mHeight / 2);
matrix.postTranslate(mWidth / 2, mHeight / 2);
}
}熟悉动画这块的童鞋肯定知道,Animation 就是通过不断改变 applyTransformation 函数传入的 Matrix 来实现各种各样的动画效果的,通过上面 applyTransformation 寥寥的几行 Matrix 的复合变换操作可以得到如下效果
实际上这几行代码用矩阵来表示就相当于如下所示:
关于代码的作用上边已经给出了注释,这里就不多写了。主要还是要弄明白 Matrix 复合变换中 pre 、 post 等操作与其对应的矩阵发生的左乘、右乘变化。
总结
到此,整篇文章已经完结,相信已经能够让你明白开头提到的三个问题。其实我们也可以发现,Google 封装了 Matrix 已经是很完美了,几乎屏蔽了所有的数学细节,使得我这种数学水平一般的开发者也能够去调用相应的 API 实现一些简单的效果。虽然被封装得很完美,但掌握相应的一些原理,依旧可以帮你更好的理解一些技术实现,此次加深了对 Matrix 一些操作的理解,帮我自己解决了以前不少的困惑,不知道有没有帮你 get 到一些什么呢?
上面给的示例代码很简单,复制黏贴即可运行玩耍,实在需要直接运行源码的童鞋就到 https://github.com/D-clock/AndroidStudyCode 找吧!
共同學習,寫下你的評論
評論加載中...
作者其他優質文章















