正文
1、定义
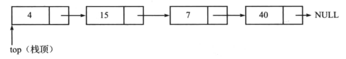
栈是一个有序线性链表,只能在表的一端(称为栈顶,top)执行插入和删除。
入栈(push),表示在栈中插入一个元素。
出栈(pop),表示从栈中删除一个元素。
下溢(underflow),试图对一个空栈执行出栈操作。
溢出(overflow),试图对一个满栈执行入栈操作。
图1-1 例子
2、实现
有以下三种常见的实现方法:
基于简单数组的实现方法
基于动态数组的实现方法
基于链表的实现方法
2.1 简单数组实现
如下图所示,从左至右向数组添加所有元素,并定义一个变量来记录数组当前栈顶(top)元素的下标。
图2-1 简单数组实现
2.1.1 代码实现
public class ArrayStack {
private int top; private int capacity; private int[] array; //初始化
public ArrayStack(){
capacity=5; array=new int[capacity];
top=-1;
} //是否下溢
public boolean isEmpty(){ return (top==-1);
} //是否溢出
public boolean isStackFull(){ return (top==capacity-1);
} //入栈
public void push(int data){ if(isStackFull()){
System.out.print("溢出");
}else { array[++top]=data;
}
} //出栈
public int pop(){ if(isEmpty()){
System.out.print("下溢"); return 0;
}else { return(array[top--]);
}
} //大小
public int size(){ return capacity;
} //销毁
public void deleteStack(){
top=-1;
}
}2.1.2 性能和局限性
性能:假设n为栈中元素的个数,下图为各算法的时间复杂度。
图2-2 性能
局限性:栈的最大空间必须预先声明且不能改变,试图对一个满栈执行入栈操作将报溢出异常。
2.2 动态数组实现
上述存在的问题是在固定大小的数组中,如何处理所有空间都已经保存了栈元素这种情况呢?可以使用重复倍增技术来提高性能,如果数组空间已满,新建一个比原来数组空间大一倍的新数组,然后复制元素。
2.2.1 代码实现
public class DynArrayStack {
private int top; private int capacity; private int[] array; //初始化
public DynArrayStack(){
capacity=5; array=new int[capacity];
top=-1;
} //是否下溢
public boolean isEmpty(){ return (top==-1);
} //是否溢出
public boolean isStackFull(){ return (top==capacity-1);
} //入栈
public void push(int data){ if(isStackFull()){
doubleStack();
} array[++top]=data;
} //出栈
public int pop(){ if(isEmpty()){
System.out.print("下溢"); return 0;
}else { return(array[top--]);
}
} //倍增
private void doubleStack(){ int newArray[]=new int[capacity*2];
System.arraycopy(array,0,newArray,0,capacity);
capacity=capacity*2; array=newArray;
} //销毁
public void deleteStack(){
top=-1;
}
}2.2.2 性能
假设n为栈中元素的个数,下图为各算法的时间复杂度。
图2-3 性能
2.3 链表实现
通过在链表的表头插入元素的方式实现push操作,删除链表的表头结点(栈顶结点)实现pop操作。
图2-4 链表实现
2.3.1 代码实现
public class LLStack { private ListNode headNode; //初始化
public LLStack(){ this.headNode=null;
} //入栈
public void push(int data){ if(headNode==null){
headNode=new ListNode(data);
}else{
ListNode llNode=new ListNode(data);
llNode.setNext(headNode);
headNode=llNode;
}
} //栈顶元素
public int top(){ if(headNode==null){ return -1;
}else { return (headNode.getData());
}
} //出栈
public int pop(){ if(headNode==null){ return -1;
}else { int data=headNode.getData();
headNode=headNode.getNext(); return data;
}
} //是否下溢
public boolean isEmpty(){ if(headNode==null){ return true;
}else { return false;
}
} //销毁
public void deleteStack(){
headNode=null;
}
}2.3.2 性能
假设n为栈中元素的个数,下图为各算法的时间复杂度。
图2-5 性能
2.4 基于数组实现和基于链表实现的比较
2.4.1 基于数组实现的栈
各个操作都是常数时间的开销。
每隔一段时间倍增操作的开销较大。
n个操作的任意序列的平摊时间开销为O(n)。
2.4.2 基于链表实现的栈
栈规模的增加和减少都很简洁。
各个操作都是常数时间开销。
每个操作都需要使用额外的空间和时间开销来处理指针。
作者:我哈啊哈啊哈
链接:https://www.jianshu.com/p/c3b81a227ec2
來源:简书
简书著作权归作者所有,任何形式的转载都请联系作者获得授权并注明出处。
共同學習,寫下你的評論
評論加載中...
作者其他優質文章





