37%法则
苏格拉底的问题:
在一片麦田里摘出一颗最大最好的麦穗。但只能摘一次,而且不能回头。
传说这是苏格拉底给他的弟子柏拉图提出的问题,又传说柏拉图进行了2次选择:
1.柏拉图第一次走进麦田,他发现很多很好的麦穗,他摘下了他看到的第一个比较大的麦穗,然后继续往前走,却沮丧地发现自己越走越失望,前面还有不少更好的,但是他却不能再摘了。
2.柏拉图第二次走进麦田,他依然发现很多很好的麦穗,但是这一次他吸取教训——前面一定有更好的。他一直向前走,直到发现自己差不多走出了麦田。按照规则,他回不去了,而他刚刚错过了最好的麦穗。
那怎么做才能拿到最大最好的问题呢?
分析:
转化为数学问题:
已知在一个无序的集合 N 中(集合大小已知),一次只能查看一个数,查看后选择是否取出这个数,在只能取一次的情况下,怎么取到集合 N 中的最大数?
猜想:
对于这个集合,要取出最大的数, "最大"肯定是比较出来的,既然是比较,必须要有比较的对象,所以我们把集合 N 拆分为2个子集A和B,集合A用来观察和比较,
集合B用来抽取 “最大” 的数。
那么,该怎么拆分集合N呢?
想到了2种方法:
1.根据 大数定理 ,多次模拟在集合中取数,比较 取出的数 等于 集合中最大数频率,以频率估算概率。
2.遍历所有的情况,根据 全概率公式 ,进行数学计算。
解法1:
假设集合N大小为100,生成长度为100的随机数组,求出前 k 个数中的最大值 max_base,
从 k+1 开始,如果这个数大于 max_base,则取出这个数作为结果,
如果第 k+1 个数到最后都小于max_base,则取出最后一个数作为结果。
重复抽取 100000 次,以频率估算概率,
k的值为1-100,代码如下:
1 # Author:shijt 2 import random 3 import time 4 5 #获取数组中前 number 个数中的最大数 6 def getMaxBase(number,random_list): 7 return max(random_list[:number]) 8 9 def getMaxGuess(number,random_list):10 max_guess=getMaxBase(number,random_list)11 for i in range(number,100):12 if (random_list[i] >= max_guess or i==99): 13 max_guess = random_list[i]14 break1516 return max_guess17 18 for j in range(1,100):19 count = 020 for i in range(100000):21 random_list = []22 #生成长度为100的随机数组23 for i in range(100):24 random_list.append(random.randint(1, 10000))25 if (getMaxGuess(j, random_list) == getMaxBase(100, random_list)):26 count += 127 print(j,count, count / 100000)
以上代码重复执行了3次,得到结果
出现了3种不同的结果,分别是当k =37,39,36时,取出最大数的频率较高,都 约等于 0.373
由此猜测,当选择 37%-38%的数作为参考时,取得最大数的概率较高,约为0.373
解法2:
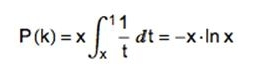
假设取 k 个数作为观察集合,则对于某个固定的k,第 i 个数为最大数,由全概率公式:
当n充分大时,
其中,x=k/n, p(k)=1,
所以,-xlnx=1,解得x=1/e,即 k/n=1/e, e为自然对数的底
1/e约等于 0.3679,约等于37%
解后分析:
我们可以看到,解法1和解法2的结果虽然比较接近,但还是有些差别,我认为造成这个差别的原因有2个:
1.在解法二中,要求集合N足够大,而解法1中的n为 100 ,显然不能满足足够大的条件,但是由于本人计算机能力有限,仅能以此作为粗略计算;
2.当k为 35-39时,彼此之间的概率相差极小,而大数定理本身也是一种估算方法,误差难以避免。
总的来说,对于苏格拉底的问题,显然最好的方法就是 先观察前37% 的麦穗,然后再遇到比前面麦穗更大的麦穗时,就摘下,否则,则摘取最后一颗麦穗。
37%法则的拓展
有人以以上数学模型来解决 恋爱问题 ,我觉得不妥,原因有3:
1.我们不必总是找到最好的那个作为伴侣,可以接受一个相对较好的;
2.我们不能接受很差的人作为伴侣,(当只剩下一个人时,我们就没得选);
3.我们最终是为了找到伴侣,找到比找到最好的更为重要。
问题:
已知在一个无序的集合 N 中(集合大小已知),一次只能查看一个数,查看后选择是否取出这个数,在只能取一次的情况下,怎么取到集合 N 中的较大数?
假设我们不必取到最大的数,而是以最大数的90%作为基准,大于90%则为符合需求的数,那么取得较大数的概率为多少?
分析:
我们和上面解法1一样,用大量的模拟实验来计算频率,并用频率估算概率。
解法:
1 #Author:shijt 2 import random 3 import time 4 5 random_list = [] 6 for i in range(100): 7 random_list.append(random.randint(1, 10000)) 8 9 def getMaxBase(number, random_list):10 return max(random_list[:number])*0.911 12 def getMaxGuess(number, random_list):13 max_guess = getMaxBase(number, random_list)14 for i in range(number,100):15 if (random_list[i] >= max_guess or i == 99):16 max_guess = random_list[i]17 break18 return max_guess19 20 for j in range(1,100):21 count = 022 for i in range(10000):23 random_list = []24 for i in range(100):25 random_list.append(random.randint(1, 10000))26 if (getMaxGuess(j, random_list) >= getMaxBase(100, random_list)):27 count += 128 print(j,count, count / 10000)
结果:
当选择63-65%的数作为参考时,可以得到 较大数 的概率较高,约等于95.7%,可以说远远高于 37%了,这才比较适合作为 恋爱问题的解法。
PS:当你愿意降低要求到85%时,你会发现,找到伴侣的概率约为 99%,还怕 找不到对象 吗?
以上仅能作为参考,毕竟人心比数学复杂的多
共同學習,寫下你的評論
評論加載中...
作者其他優質文章




