正则化(Regularization)
机器学习中几乎都可以看到损失函数后面会添加一个额外项,常用的额外项一般有两种,一般英文称作-norm,中文称作L1正则化和L2正则化,或者L1范数和L2范数。
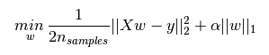
L1正则化和L2正则化可以看做是损失函数的惩罚项。所谓『惩罚』是指对损失函数中的某些参数做一些限制。对于线性回归模型,使用L1正则化的模型建叫做Lasso回归,使用L2正则化的模型叫做Ridge回归(岭回归)。下图是Python中Lasso回归的损失函数,式中加号后面一项即为L1正则化项。
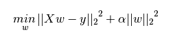
下图是Python中Ridge回归的损失函数,式中加号后面一项即为L2正则化项。
一般回归分析中回归表示特征的系数,从上式可以看到正则化项是对系数做了处理(限制)。L1正则化和L2正则化的说明如下:
L1正则化是指权值向量
L2正则化是指权值向量
一般都会在正则化项之前添加一个系数,Python中用表示。这个系数需要用户指定。
那添加L1和L2正则化有什么用?下面是L1正则化和L2正则化的作用,这些表述可以在很多文章中找到。
L1正则化可以产生稀疏权值矩阵,即产生一个稀疏模型,可以用于特征选择
L2正则化可以防止模型过拟合(overfitting);一定程度上,L1也可以防止过拟合
稀疏模型与特征选择
上面提到L1正则化有助于生成一个稀疏权值矩阵,进而可以用于特征选择。为什么要生成一个稀疏矩阵?
稀疏矩阵指的是很多元素为0,只有少数元素是非零值的矩阵,即得到的线性回归模型的大部分系数都是0. 通常机器学习中特征数量很多,例如文本处理时,如果将一个词组(term)作为一个特征,那么特征数量会达到上万个(bigram)。在预测或分类时,那么多特征显然难以选择,但是如果代入这些特征得到的模型是一个稀疏模型,表示只有少数特征对这个模型有贡献,绝大部分特征是没有贡献的,或者贡献微小(因为它们前面的系数是0或者是很小的值,即使去掉对模型也没有什么影响),此时我们就可以只关注系数是非零值的特征。这就是稀疏模型与特征选择的关系。
L1和L2正则化的直观理解
这部分内容将解释为什么L1正则化可以产生稀疏模型(L1是怎么让系数等于零的),以及为什么L2正则化可以防止过拟合。
L1正则化和特征选择
假设有如下带L1正则化的损失函数:
其中的二维平面上画出来。如下图:

图1 L1正则化
图中等值线是其它部位接触的机率,而在这些角上,会有很多权值等于0,这就是为什么L1正则化可以产生稀疏模型,进而可以用于特征选择。
而正则化前面的系数可以取到很小的值。
类似,假设有如下带L2正则化的损失函数:
同样可以画出他们在二维平面上的图形,如下:

图2 L2正则化
二维平面下L2正则化的函数图形是个圆,与方形相比,被磨去了棱角。因此等于零的机率小了许多,这就是为什么L2正则化不具有稀疏性的原因。
L2正则化和过拟合
拟合过程中通常都倾向于让权值尽可能小,最后构造一个所有参数都比较小的模型。因为一般认为参数值小的模型比较简单,能适应不同的数据集,也在一定程度上避免了过拟合现象。可以设想一下对于一个线性回归方程,若参数很大,那么只要数据偏移一点点,就会对结果造成很大的影响;但如果参数足够小,数据偏移得多一点也不会对结果造成什么影响,专业一点的说法是『抗扰动能力强』。
那为什么L2正则化可以获得值很小的参数?
以线性回归中的梯度下降法为例。假设要求的参数为是我们的假设函数,那么线性回归的代价函数如下:
那么在梯度下降法中,最终用于迭代计算参数的迭代式为:
其中是learning rate. 上式是没有添加L2正则化项的迭代公式,如果在原始代价函数之后添加L2正则化,则迭代公式会变成下面的样子:
其中是不断减小的。
最开始也提到L1正则化一定程度上也可以防止过拟合。之前做了解释,当L1的正则化系数很小时,得到的最优解会很小,可以达到和L2正则化类似的效果。
正则化参数的选择
L1正则化参数
通常越大的可以让代价函数在参数为0时取到最小值。下面是一个简单的例子,这个例子来自Quora上的问答。为了方便叙述,一些符号跟这篇帖子的符号保持一致。
假设有如下带L1正则化项的代价函数:
其中时取到最小值。如下图:

图3 L1正则化参数的选择
分别取时取到最小值。
L2正则化参数
从公式5可以看到,越大,L2圆的半径越小,最后求得代价函数最值时各参数也会变得很小。
Reference
过拟合的解释:
https://hit-scir.gitbooks.io/neural-networks-and-deep-learning-zh_cn/content/chap3/c3s5ss2.html
正则化的解释:
https://hit-scir.gitbooks.io/neural-networks-and-deep-learning-zh_cn/content/chap3/c3s5ss1.html
正则化的解释:
http://blog.csdn.net/u012162613/article/details/44261657
正则化的数学解释(一些图来源于这里): 转自:https://blog.csdn.net/jinping_shi/article/details/52433975
共同學習,寫下你的評論
評論加載中...
作者其他優質文章

