图片由作者使用AI(https://copilot.microsoft.com/images/create)协助创建
简介多年来,我一直使用PyTorch来构建和训练深度学习模型。尽管我已经熟悉了它的语法和规则,但总有一些东西让我感到好奇:在这些操作内部到底发生了什么?这一切是如何运作的?
如果你已经看到了这里,你可能也有同样的疑问。如果你问我如何在PyTorch中创建和训练一个模型,你可能会想到类似下面的代码:
导入 torch
导入 torch.nn 作为 nn
导入 torch.optim 作为 optim
类 MyModel(nn.Module):
def __init__(self):
超类(MyModel, self).__init__()
self.fc1 = nn.Linear(1, 10)
self.sigmoid = nn.Sigmoid()
self.fc2 = nn.Linear(10, 1)
def forward(self, x):
out = self.fc1(x)
out = self.sigmoid(out)
out = self.fc2(out)
返回 out
...
model = MyModel().to(device)
criterion = nn.MSELoss()
optimizer = optim.SGD(model.parameters(), lr=0.001)
对于 epoch 在 范围(epochs):
对于 x, y 在 ...
x = x.to(device)
y = y.to(device)
outputs = model(x)
loss = criterion(outputs, y)
optimizer.zero_grad()
loss.backward()
optimizer.step()
但是如果你问我反向传播是如何工作的呢?或者,比如说,当你重塑一个张量时会发生什么?数据会在内部重新排列吗?这是如何发生的?为什么PyTorch如此快速?PyTorch是如何处理GPU操作的?这些问题一直让我感到好奇,我想你也一样。因此,为了更好地理解这些概念,还有什么比从零开始构建你自己的张量库更好的方法呢?这就是你在本文中将要学习的内容!
1 — 张量为了构建一个张量库,你首先需要了解的概念显然是:什么是张量?
你可能有一个直观的概念,即张量是一个包含某些数字的 n 维数据结构的数学概念。但在这里我们需要从计算的角度理解如何构建这种数据结构。我们可以将张量视为由数据本身及其一些元数据组成,这些元数据描述了张量的一些方面,例如其形状或它所在的设备(即 CPU 内存、GPU 内存等)。
图片由作者提供
还有一个你可能从未听说过的不太流行的元数据,称为 步长。理解张量数据重新排列的内部机制,这个概念非常重要,所以我们需要稍微详细地讨论一下。
想象一个形状为 [4, 8] 的二维张量,如下所示。
4x8 张量(作者绘制的图像)
张量的数据(即浮点数)实际上是以一维数组的形式存储在内存中的:
1-D 维张量的数据数组(作者提供)
所以,为了将这个一维数组表示为N维张量,我们使用步长。基本思路如下:
我们有一个4行8列的矩阵。考虑到它的所有元素都是按行组织在1维数组中,如果我们想要访问位置[2, 3]的值,我们需要遍历2行(每行8个元素)再加上3个位置。用数学语言来说,我们需要在1维数组中遍历3 + 2 * 8个元素:
图片由作者提供
所以这个“8”是第二个维度的stride。在这种情况下,它表示我需要在数组中跨越多少个元素才能在第二个维度上“跳”到其他位置。
因此,对于访问形状为 [shape_0, shape_1] 的二维张量的元素 [i, j],我们基本上需要访问位置为 j + i * shape_1 的元素。
现在,让我们想象一个三维张量:
5x4x8 张量(作者绘制的图像)
你可以将这个三维张量视为一系列矩阵。例如,你可以将这个 [5, 4, 8] 张量视为 5 个形状为 [4, 8] 的矩阵。
现在,为了访问位置 [1, 2, 7] 的元素,你需要遍历一个形状为 [4,8] 的完整矩阵,8 个元素的 2 行,以及 1 个元素的 7 列。因此,你需要在 1 维数组中遍历 (1 4 8) + (2 8) + (7 1) 个位置。
图片由作者提供
因此,要访问形状为 [shape_0, shape_1, shape_2] 的3-D张量在1-D数据数组中的元素 [i][j][k],你应该这样做:
这个 shape_1 * shape_2 是第一维度的 stride,shape_2 是第二维度的 stride,1 是第三维度的 stride。
然后,为了泛化:
每个维度的stride 可以通过计算下一个维度张量形状的乘积来得出:
然后我们将 stride[n-1] 设置为 1。
在我们形状为 [5, 4, 8] 的张量示例中,步长 strides = [4*8, 8, 1] = [32, 8, 1]
你可以自行测试:
import torch
torch.rand([5, 4, 8]).stride()
#(32, 8, 1)
好的,但为什么我们需要形状和步长?除了访问存储为一维数组的N维张量的元素之外,这个概念还可以非常轻松地用于操纵张量的排列。
例如,要重塑一个张量,你只需要设置新的形状并根据新的形状计算新的步长!(因为新的形状保证了元素的数量相同)
导入 torch
t = torch.rand([5, 4, 8])
打印(t.shape)
# [5, 4, 8]
打印(t.stride())
# [32, 8, 1]
new_t = t.reshape([4, 5, 2, 2, 2])
打印(new_t.shape)
# [4, 5, 2, 2, 2]
打印(new_t.stride())
# [40, 8, 4, 2, 1]
内部,张量仍然存储为相同的1维数组。reshape方法并没有改变数组中元素的顺序!这真是太棒了,不是吗? 😁
你可以通过以下访问 PyTorch 内部一维数组的函数自行验证:
import ctypes
def 打印内部(t: torch.Tensor):
print(
torch.frombuffer(
ctypes.string_at(t.data_ptr(), t.storage().nbytes()), dtype=t.dtype
)
)
打印内部(t)
# [0.0752, 0.5898, 0.3930, 0.9577, 0.2276, 0.9786, 0.1009, 0.138, ...
打印内部(new_t)
# [0.0752, 0.5898, 0.3930, 0.9577, 0.2276, 0.9786, 0.1009, 0.138, ...
或者比如说,你想交换两个轴。内部实现中,你只需要交换相应的步长!
t = torch.arange(0, 24).reshape(2, 3, 4)
print(t)
# [[[ 0, 1, 2, 3],
# [ 4, 5, 6, 7],
# [ 8, 9, 10, 11]],
# [[12, 13, 14, 15],
# [16, 17, 18, 19],
# [20, 21, 22, 23]]]
print(t.shape)
# [2, 3, 4]
print(t.stride())
# [12, 4, 1]
new_t = t.transpose(0, 1)
print(new_t)
# [[[ 0, 1, 2, 3],
# [12, 13, 14, 15]],
# [[ 4, 5, 6, 7],
# [16, 17, 18, 19]],
# [[ 8, 9, 10, 11],
# [20, 21, 22, 23]]]
print(new_t.shape)
# [3, 2, 4]
print(new_t.stride())
# [4, 12, 1]
如果你打印内部数组,两者具有相同的值:
print_internal(t)
# [0, 1, 2, 3, 4, 5, 6, 7, 8, 9, 10, 11, 12, 13, 14, 15, 16, 17, 18, 19, 20, 21, 22, 23]
print_internal(new_t)
# [0, 1, 2, 3, 4, 5, 6, 7, 8, 9, 10, 11, 12, 13, 14, 15, 16, 17, 18, 19, 20, 21, 22, 23]
然而,new_t 的步长现在与我上面展示的公式不符。这是由于张量现在不再连续。也就是说,虽然内部数组保持不变,但其值在内存中的顺序与张量的实际顺序不再匹配。
t.is_contiguous()
# True
new_t.is_contiguous()
# False
这意味着按顺序访问非连续的元素效率较低(因为实际的张量元素在内存中并不是顺序排列的)。为了修复这个问题,我们可以这样做:
new_t_contiguous = new_t.contiguous()
print(new_t_contiguous.is_contiguous())
# True
如果我们分析内部数组,它的顺序现在与实际张量的顺序一致,这可以提供更好的内存访问效率:
print(new_t)
# [[[ 0, 1, 2, 3],
# [12, 13, 14, 15]],
# [[ 4, 5, 6, 7],
# [16, 17, 18, 19]],
# [[ 8, 9, 10, 11],
# [20, 21, 22, 23]]]
print_internal(new_t)
# [ 0, 1, 2, 3, 4, 5, 6, 7, 8, 9, 10, 11, 12, 13, 14, 15, 16, 17, 18, 19, 20, 21, 22, 23]
print_internal(new_t_contiguous)
# [ 0, 1, 2, 3, 12, 13, 14, 15, 4, 5, 6, 7, 16, 17, 18, 19, 8, 9, 10, 11, 20, 21, 22, 23]
现在我们理解了张量是如何建模的,让我们开始创建我们的库吧!
我会叫它 Norch ,这个名字意为 NOT PyTorch,同时也暗指我的姓氏 Nogueira 😁
首先要知道的是,尽管 PyTorch 是通过 Python 使用的,但其内部实际上是运行 C/C++ 代码。因此,我们将首先创建我们内部的 C/C++ 函数。
我们可以首先定义一个 tensor 作为结构体来存储其数据和元数据,并创建一个函数来实例化它:
//norch/csrc/tensor.cpp
#include <stdio.h>
#include <stdlib.h>
#include <string.h>
#include <math.h>
typedef struct {
float* data;
int* strides;
int* shape;
int ndim;
int size;
char* device;
} Tensor;
Tensor* create_tensor(float* data, int* shape, int ndim) {
Tensor* tensor = (Tensor*)malloc(sizeof(Tensor));
if (tensor == NULL) {
fprintf(stderr, "内存分配失败\n");
exit(1);
}
tensor->data = data;
tensor->shape = shape;
tensor->ndim = ndim;
tensor->size = 1;
for (int i = 0; i < ndim; i++) {
tensor->size *= shape[i];
}
tensor->strides = (int*)malloc(ndim * sizeof(int));
if (tensor->strides == NULL) {
fprintf(stderr, "内存分配失败\n");
exit(1);
}
int stride = 1;
for (int i = ndim - 1; i >= 0; i--) {
tensor->strides[i] = stride;
stride *= shape[i];
}
return tensor;
}
为了访问某些元素,我们可以利用步长,就像我们之前学过的那样:
//norch/csrc/tensor.cpp
float get_item(Tensor* tensor, int* indices) {
int index = 0;
for (int i = 0; i < tensor->ndim; i++) {
index += indices[i] * tensor->strides[i];
}
float result;
result = tensor->data[index];
return result;
}
现在,我们可以创建张量操作。我将展示一些示例,你可以在本文末尾链接的仓库中找到完整版本。
//norch/csrc/cpu.cpp
void add_tensor_cpu(Tensor* tensor1, Tensor* tensor2, float* result_data) {
for (int i = 0; i < tensor1->size; i++) {
result_data[i] = tensor1->data[i] + tensor2->data[i];
}
}
void sub_tensor_cpu(Tensor* tensor1, Tensor* tensor2, float* result_data) {
for (int i = 0; i < tensor1->size; i++) {
result_data[i] = tensor1->data[i] - tensor2->data[i];
}
}
void elementwise_mul_tensor_cpu(Tensor* tensor1, Tensor* tensor2, float* result_data) {
for (int i = 0; i < tensor1->size; i++) {
result_data[i] = tensor1->data[i] * tensor2->data[i];
}
}
void assign_tensor_cpu(Tensor* tensor, float* result_data) {
for (int i = 0; i < tensor->size; i++) {
result_data[i] = tensor->data[i];
}
}
...
之后我们可以创建我们其他的张量函数,这些函数将调用这些操作:
//norch/csrc/tensor.cpp
Tensor* add_tensor(Tensor* tensor1, Tensor* tensor2) {
if (tensor1->ndim != tensor2->ndim) {
fprintf(stderr, "张量必须具有相同的维度才能相加:%d 和 %d\n", tensor1->ndim, tensor2->ndim);
exit(1);
}
int ndim = tensor1->ndim;
int* shape = (int*)malloc(ndim * sizeof(int));
if (shape == NULL) {
fprintf(stderr, "内存分配失败\n");
exit(1);
}
for (int i = 0; i < ndim; i++) {
if (tensor1->shape[i] != tensor2->shape[i]) {
fprintf(stderr, "张量必须具有相同的形状才能相加:%d 和 %d 在索引 %d\n", tensor1->shape[i], tensor2->shape[i], i);
exit(1);
}
shape[i] = tensor1->shape[i];
}
float* result_data = (float*)malloc(tensor1->size * sizeof(float));
if (result_data == NULL) {
fprintf(stderr, "内存分配失败\n");
exit(1);
}
add_tensor_cpu(tensor1, tensor2, result_data);
return create_tensor(result_data, shape, ndim, device);
}
如前所述,张量的重塑不会修改其内部数据数组:
//norch/csrc/tensor.cpp
Tensor* reshape_tensor(Tensor* tensor, int* new_shape, int new_ndim) {
int ndim = new_ndim;
int* shape = (int*)malloc(ndim * sizeof(int));
if (shape == NULL) {
fprintf(stderr, "内存分配失败\n");
exit(1);
}
for (int i = 0; i < ndim; i++) {
shape[i] = new_shape[i];
}
// 计算新形状中的总元素数
int size = 1;
for (int i = 0; i < new_ndim; i++) {
size *= shape[i];
}
// 检查新形状中的总元素数是否与当前张量的大小匹配
if (size != tensor->size) {
fprintf(stderr, "无法重塑张量。新形状中的总元素数与当前张量大小不匹配。\n");
exit(1);
}
float* result_data = (float*)malloc(tensor->size * sizeof(float));
if (result_data == NULL) {
fprintf(stderr, "内存分配失败\n");
exit(1);
}
assign_tensor_cpu(tensor, result_data);
return create_tensor(result_data, shape, ndim, device);
}
虽然我们现在可以进行一些张量操作了,但没有人愿意用 C/C++ 来运行它吧?让我们开始构建我们的 Python 包装器吧!
有许多方法可以使用Python运行C/C++代码,例如 Pybind11 和 Cython. 在我们的示例中,我将使用 ctypes.
_ctypes_的基本结构如下所示:
//C 代码
#include <stdio.h>
float add_floats(float a, float b) {
return a + b;
}
# 编译
gcc -shared -o add_floats.so -fPIC add_floats.c
# Python 代码
import ctypes
# 加载共享库
lib = ctypes.CDLL('./add_floats.so')
# 定义函数的参数和返回类型
lib.add_floats.argtypes = [ctypes.c_float, ctypes.c_float]
lib.add_floats.restype = ctypes.c_float
# 将 Python float 转换为 c_float 类型
a = ctypes.c_float(3.5)
b = ctypes.c_float(2.2)
# 调用 C 函数
result = lib.add_floats(a, b)
print(result)
# 5.7
如你所见,这非常直观。编译完 C/C++ 代码后,你可以非常轻松地使用 ctypes 在 Python 中调用它。你只需要定义函数的参数和返回值的 c_types,将变量转换为其相应的 c_types,并调用函数。对于更复杂的数据类型,如数组(浮点数列表),你可以使用指针。
data = [1.0, 2.0, 3.0]
data_ctype = (ctypes.c_float * len(data))(*data)
lib.some_array_func.argtypes = [ctypes.POINTER(ctypes.c_float)]
...
lib.some_array_func(data)
对于结构体类型,我们可以创建我们自己的 c_type:
class CustomType(ctypes.Structure):
_fields_ = [
('field1', ctypes.POINTER(ctypes.c_float)),
('field2', ctypes.POINTER(ctypes.c_int)),
('field3', ctypes.c_int),
]
# 可以用作 ctypes.POINTER(CustomType)
经过这段简短的解释,让我们为我们的张量C/C++库构建Python包装器吧!
# norch/tensor.py
import ctypes
class CTensor(ctypes.Structure):
_fields_ = [
('data', ctypes.POINTER(ctypes.c_float)),
('strides', ctypes.POINTER(ctypes.c_int)),
('shape', ctypes.POINTER(ctypes.c_int)),
('ndim', ctypes.c_int),
('size', ctypes.c_int),
]
class Tensor:
os.path.abspath(os.curdir)
_C = ctypes.CDLL("COMPILED_LIB.so"))
def __init__(self):
data, shape = self.flatten(data)
self.data_ctype = (ctypes.c_float * len(data))(*data)
self.shape_ctype = (ctypes.c_int * len(shape))(*shape)
self.ndim_ctype = ctypes.c_int(len(shape))
self.shape = shape
self.ndim = len(shape)
Tensor._C.create_tensor.argtypes = [ctypes.POINTER(ctypes.c_float), ctypes.POINTER(ctypes.c_int), ctypes.c_int]
Tensor._C.create_tensor.restype = ctypes.POINTER(CTensor)
self.tensor = Tensor._C.create_tensor(
self.data_ctype,
self.shape_ctype,
self.ndim_ctype,
)
def flatten(self, nested_list):
"""
该方法将一个嵌套列表类型的张量转换为展平后的张量及其形状
示例:
参数:
nested_list: [[1, 2, 3], [-5, 2, 0]]
返回:
flat_data: [1, 2, 3, -5, 2, 0]
shape: [2, 3]
"""
def flatten_recursively(nested_list):
flat_data = []
shape = []
if isinstance(nested_list, list):
for sublist in nested_list:
inner_data, inner_shape = flatten_recursively(sublist)
flat_data.extend(inner_data)
shape.append(len(nested_list))
shape.extend(inner_shape)
else:
flat_data.append(nested_list)
return flat_data, shape
flat_data, shape = flatten_recursively(nested_list)
return flat_data, shape
现在我们将 Python 中的张量操作包含进来以调用 C/C++ 操作。
# norch/tensor.py
def __getitem__(self, indices):
"""
通过索引访问张量 tensor[i, j, k...]
"""
if len(indices) != self.ndim:
raise ValueError("索引的数量必须与维度的数量匹配")
Tensor._C.get_item.argtypes = [ctypes.POINTER(CTensor), ctypes.POINTER(ctypes.c_int)]
Tensor._C.get_item.restype = ctypes.c_float
indices = (ctypes.c_int * len(indices))(*indices)
value = Tensor._C.get_item(self.tensor, indices)
return value
def reshape(self, new_shape):
"""
重塑张量
result = tensor.reshape([1,2])
"""
new_shape_ctype = (ctypes.c_int * len(new_shape))(*new_shape)
new_ndim_ctype = ctypes.c_int(len(new_shape))
Tensor._C.reshape_tensor.argtypes = [ctypes.POINTER(CTensor), ctypes.POINTER(ctypes.c_int), ctypes.c_int]
Tensor._C.reshape_tensor.restype = ctypes.POINTER(CTensor)
result_tensor_ptr = Tensor._C.reshape_tensor(self.tensor, new_shape_ctype, new_ndim_ctype)
result_data = Tensor()
result_data.tensor = result_tensor_ptr
result_data.shape = new_shape.copy()
result_data.ndim = len(new_shape)
result_data.device = self.device
return result_data
def __add__(self, other):
"""
加法张量
result = tensor1 + tensor2
"""
if self.shape != other.shape:
raise ValueError("张量的形状必须相同才能进行加法操作")
Tensor._C.add_tensor.argtypes = [ctypes.POINTER(CTensor), ctypes.POINTER(CTensor)]
Tensor._C.add_tensor.restype = ctypes.POINTER(CTensor)
result_tensor_ptr = Tensor._C.add_tensor(self.tensor, other.tensor)
result_data = Tensor()
result_data.tensor = result_tensor_ptr
result_data.shape = self.shape.copy()
result_data.ndim = self.ndim
result_data.device = self.device
return result_data
# 包括其他操作:
# __str__
# __sub__ (-)
# __mul__ (*)
# __matmul__ (@)
# __pow__ (**)
# __truediv__ (/)
# log
# ...
如果你看到了这里,你现在就可以运行代码并开始进行一些张量操作了!
import norch
tensor1 = norch.Tensor([[1, 2, 3], [3, 2, 1]])
tensor2 = norch.Tensor([[3, 2, 1], [1, 2, 3]])
result = tensor1 + tensor2
print(result[0, 0])
# 4
2 — GPU 支持
在创建了我们库的基本结构之后,现在我们将把它提升到一个新的水平。众所周知,你可以通过调用 .to("cuda") 将数据发送到GPU,从而更快地运行数学运算。我假设你对CUDA的工作原理有一定的了解,但如果你不了解,可以阅读我的另一篇文章:CUDA教程。 我在这里等着你。😊
请提供需要翻译的具体内容。
对于那些急于了解的读者,这里有一个简单的介绍:
基本上,到目前为止我们所有的代码都是在CPU内存上运行的。虽然对于单个操作来说,CPU的速度更快,但GPU的优势在于其并行化能力。CPU的设计目标是快速执行一系列操作(线程),但只能同时执行几十个(线程)。而GPU的设计目标则是并行执行数百万个操作(通过牺牲单个线程的性能)。
因此,我们可以利用这种能力来并行执行操作。例如,在进行一百万规模的张量加法时,我们不再需要在循环中逐个索引顺序相加,而是可以使用GPU一次性并行完成所有加法操作。为了实现这一点,我们可以使用CUDA,这是NVIDIA开发的一个平台,旨在帮助开发者将GPU支持集成到他们的软件应用程序中。
为了做到这一点,你可以使用 CUDA C/C++,这是一种基于 C/C++ 的简单接口,设计用于运行特定的 GPU 操作(例如从 CPU 内存复制数据到 GPU 内存)。
下面的代码基本上使用了一些CUDA C/C++函数将数据从CPU复制到GPU,并并行运行AddTwoArrays函数(也称为内核),总共使用N个GPU线程,每个线程负责添加数组中的不同元素。
#include <stdio.h>
// CPU版本,用于比较
void AddTwoArrays_CPU(float A[], float B[], float C[]) {
for (int i = 0; i < N; i++) {
C[i] = A[i] + B[i];
}
}
// 核函数定义
__global__ void AddTwoArrays_GPU(float A[], float B[], float C[]) {
int i = threadIdx.x;
C[i] = A[i] + B[i];
}
int main() {
int N = 1000; // 数组的大小
float A[N], B[N], C[N]; // 数组 A, B 和 C
...
float *d_A, *d_B, *d_C; // 设备上的数组 A, B 和 C 的指针
// 在设备上为数组 A, B 和 C 分配内存
cudaMalloc((void **)&d_A, N * sizeof(float));
cudaMalloc((void **)&d_B, N * sizeof(float));
cudaMalloc((void **)&d_C, N * sizeof(float));
// 将数组 A 和 B 从主机复制到设备
cudaMemcpy(d_A, A, N * sizeof(float), cudaMemcpyHostToDevice);
cudaMemcpy(d_B, B, N * sizeof(float), cudaMemcpyHostToDevice);
// 使用 N 个线程调用核函数
AddTwoArrays_GPU<<<1, N>>>(d_A, d_B, d_C);
// 将向量 C 从设备复制回主机
cudaMemcpy(C, d_C, N * sizeof(float), cudaMemcpyDeviceToHost);
}
正如你所注意到的,我们没有为每一对元素添加操作,而是将所有添加操作并行运行,消除了循环指令。
在这一简短介绍之后,我们可以回到我们的张量库。
第一步是创建一个函数,用于将张量数据从CPU发送到GPU,反之亦然。
//norch/csrc/tensor.cpp
void to_device(Tensor* tensor, char* target_device) {
if ((strcmp(target_device, "cuda") == 0) && (strcmp(tensor->device, "cpu") == 0)) {
cpu_to_cuda(tensor);
}
else if ((strcmp(target_device, "cpu") == 0) && (strcmp(tensor->device, "cuda") == 0)) {
cuda_to_cpu(tensor);
}
}
//norch/csrc/cuda.cu
__host__ void cpu_to_cuda(Tensor* tensor) {
float* data_tmp;
cudaMalloc((void **)&data_tmp, tensor->size * sizeof(float));
cudaMemcpy(data_tmp, tensor->data, tensor->size * sizeof(float), cudaMemcpyHostToDevice);
tensor->data = data_tmp;
const char* device_str = "cuda";
tensor->device = (char*)malloc(strlen(device_str) + 1);
strcpy(tensor->device, device_str);
printf("成功将张量发送到: %s\n", tensor->device);
}
__host__ void cuda_to_cpu(Tensor* tensor) {
float* data_tmp = (float*)malloc(tensor->size * sizeof(float));
cudaMemcpy(data_tmp, tensor->data, tensor->size * sizeof(float), cudaMemcpyDeviceToHost);
cudaFree(tensor->data);
tensor->data = data_tmp;
const char* device_str = "cpu";
tensor->device = (char*)malloc(strlen(device_str) + 1);
strcpy(tensor->device, device_str);
printf("成功将张量发送到: %s\n", tensor->device);
}
Python封装:
# norch/tensor.py
def to(self, device):
self.device = device
self.device_ctype = self.device.encode('utf-8')
Tensor._C.to_device.argtypes = [ctypes.POINTER(CTensor), ctypes.c_char_p]
Tensor._C.to_device.restype = None
Tensor._C.to_device(self.tensor, self.device_ctype)
return self
然后,我们为所有的张量操作创建GPU版本。我将为加法和减法操作编写示例:
//norch/csrc/cuda.cu
#define THREADS_PER_BLOCK 128
__global__ void add_tensor_cuda_kernel(float* data1, float* data2, float* result_data, int size) {
int i = blockIdx.x * blockDim.x + threadIdx.x;
if (i < size) {
result_data[i] = data1[i] + data2[i];
}
}
__host__ void add_tensor_cuda(Tensor* tensor1, Tensor* tensor2, float* result_data) {
int number_of_blocks = (tensor1->size + THREADS_PER_BLOCK - 1) / THREADS_PER_BLOCK;
add_tensor_cuda_kernel<<<number_of_blocks, THREADS_PER_BLOCK>>>(tensor1->data, tensor2->data, result_data, tensor1->size);
cudaError_t error = cudaGetLastError();
if (error != cudaSuccess) {
printf("CUDA error: %s\n", cudaGetErrorString(error));
exit(-1);
}
cudaDeviceSynchronize();
}
__global__ void sub_tensor_cuda_kernel(float* data1, float* data2, float* result_data, int size) {
int i = blockIdx.x * blockDim.x + threadIdx.x;
if (i < size) {
result_data[i] = data1[i] - data2[i];
}
}
__host__ void sub_tensor_cuda(Tensor* tensor1, Tensor* tensor2, float* result_data) {
int number_of_blocks = (tensor1->size + THREADS_PER_BLOCK - 1) / THREADS_PER_BLOCK;
sub_tensor_cuda_kernel<<<number_of_blocks, THREADS_PER_BLOCK>>>(tensor1->data, tensor2->data, result_data, tensor1->size);
cudaError_t error = cudaGetLastError();
if (error != cudaSuccess) {
printf("CUDA error: %s\n", cudaGetErrorString(error));
exit(-1);
}
cudaDeviceSynchronize();
}
...
随后,我们在 tensor.cpp 中包含了一个新的张量属性 char* device,我们可以使用它来选择操作将在哪里运行(CPU或GPU):
//norch/csrc/tensor.cpp
Tensor* add_tensor(Tensor* tensor1, Tensor* tensor2) {
if (tensor1->ndim != tensor2->ndim) {
fprintf(stderr, "张量必须具有相同的维度,分别为 %d 和 %d,才能进行加法操作\n", tensor1->ndim, tensor2->ndim);
exit(1);
}
if (strcmp(tensor1->device, tensor2->device) != 0) {
fprintf(stderr, "张量必须位于相同的设备上:%s 和 %s\n", tensor1->device, tensor2->device);
exit(1);
}
char* device = (char*)malloc(strlen(tensor1->device) + 1);
if (device != NULL) {
strcpy(device, tensor1->device);
} else {
fprintf(stderr, "内存分配失败\n");
exit(-1);
}
int ndim = tensor1->ndim;
int* shape = (int*)malloc(ndim * sizeof(int));
if (shape == NULL) {
fprintf(stderr, "内存分配失败\n");
exit(1);
}
for (int i = 0; i < ndim; i++) {
if (tensor1->shape[i] != tensor2->shape[i]) {
fprintf(stderr, "张量必须具有相同的形状,分别为 %d 和 %d,才能在索引 %d 进行加法操作\n", tensor1->shape[i], tensor2->shape[i], i);
exit(1);
}
shape[i] = tensor1->shape[i];
}
if (strcmp(tensor1->device, "cuda") == 0) {
float* result_data;
cudaMalloc((void **)&result_data, tensor1->size * sizeof(float));
add_tensor_cuda(tensor1, tensor2, result_data);
return create_tensor(result_data, shape, ndim, device);
}
else {
float* result_data = (float*)malloc(tensor1->size * sizeof(float));
if (result_data == NULL) {
fprintf(stderr, "内存分配失败\n");
exit(1);
}
add_tensor_cpu(tensor1, tensor2, result_data);
return create_tensor(result_data, shape, ndim, device);
}
}
现在我们的库支持GPU了!
import norch
tensor1 = norch.Tensor([[1, 2, 3], [3, 2, 1]]).to("cuda")
tensor2 = norch.Tensor([[3, 2, 1], [1, 2, 3]]).to("cuda")
result = tensor1 + tensor2
3 — 自动求导(Autograd)
PyTorch 很受欢迎的一个主要原因是因为它的 Autograd 模块。这是一个核心组件,它允许自动求导,以便计算梯度(这对于使用诸如梯度下降之类的优化算法训练模型至关重要)。通过调用单个方法 .backward(),它可以计算所有先前张量操作的梯度:
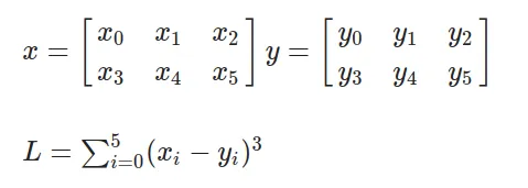
x = torch.tensor([[1., 2, 3], [3., 2, 1]], requires_grad=True)
# [[1, 2, 3],
# [3, 2., 1]]
y = torch.tensor([[3., 2, 1], [1., 2, 3]], requires_grad=True)
# [[3, 2, 1],
# [1, 2, 3]]
L = ((x - y) ** 3).sum()
L.backward()
# 可以访问 x 和 y 的梯度
print(x.grad)
# [[12, 0, 12],
# [12, 0, 12]]
print(y.grad)
# [[-12, 0, -12],
# [-12, 0, -12]]
# 为了最小化 z,可以使用梯度下降法:
# x = x - learning_rate * x.grad
# y = y - learning_rate * y.grad
为了理解发生了什么,让我们尝试手动复制相同的步骤:
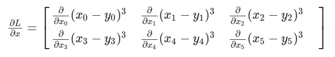
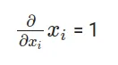
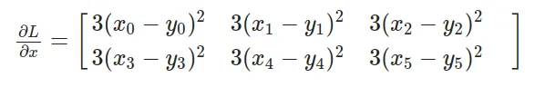
让我们先计算:
注意,x 是一个矩阵,因此我们需要分别计算 L 对每个元素的偏导数。此外,L 是所有元素的总和,但重要的是要记住,对于每个元素来说,其他元素不会对其偏导数产生影响。因此,我们得到以下项:
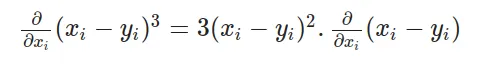
通过为每一项应用链式法则,我们对外部函数求导并乘以内部函数的导数:
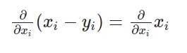
哪里:
最后:
因此,我们有以下最终方程来计算 L 对 x 的导数:
将值代入方程:
计算结果,我们得到了与 PyTorch 计算相同的结果:
现在,让我们来分析一下我们刚刚做了什么:
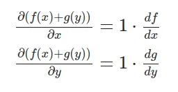
基本上,我们观察到了所有按保留顺序涉及的操作:求和、3次幂和减法。然后,我们应用了链式法则,计算了每个操作的导数,并递归地计算了下一个操作的导数。因此,首先我们需要实现不同数学操作的导数:
对于加法:
# norch/autograd/functions.py
class AddBackward:
def __init__(self, x, y):
self.input = [x, y]
def backward(self, gradient):
return [gradient, gradient]
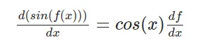
对于正弦函数:
# norch/autograd/functions.py
class SinBackward:
def __init__(self, x):
self.input = [x]
def backward(self, gradient):
x = self.input[0]
return [x.cos() * gradient]
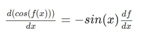
对于余弦:
# norch/autograd/functions.py
class CosBackward:
def __init__(self, x):
self.input = [x]
def backward(self, gradient):
x = self.input[0]
return [-x.sin() * gradient]
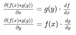
对于元素-wise 乘法:
# norch/autograd/functions.py
class ElementwiseMulBackward:
def __init__(self, x, y):
self.input = [x, y]
def backward(self, gradient):
x = self.input[0]
y = self.input[1]
return [y * gradient, x * gradient]
对于求和:
# norch/autograd/functions.py
class SumBackward:
def __init__(self, x):
self.input = [x]
def backward(self, gradient):
# 由于求和将张量缩减为标量,梯度会被广播以匹配原始形状。
return [float(gradient.tensor.contents.data[0]) * self.input[0].ones_like()]
您可以在文章末尾访问 GitHub 仓库链接以探索其他操作。
现在我们已经有了每个操作的导数表达式,可以继续实现递归反向链式法则。我们可以为我们的张量设置一个 requires_grad 参数,以指示我们希望存储该张量的梯度。如果为真,我们将为每个张量操作存储梯度。例如:
# norch/tensor.py
def __add__(self, other):
if self.shape != other.shape:
raise ValueError("张量必须具有相同的形状才能进行加法操作")
Tensor._C.add_tensor.argtypes = [ctypes.POINTER(CTensor), ctypes.POINTER(CTensor)]
Tensor._C.add_tensor.restype = ctypes.POINTER(CTensor)
result_tensor_ptr = Tensor._C.add_tensor(self.tensor, other.tensor)
result_data = Tensor()
result_data.tensor = result_tensor_ptr
result_data.shape = self.shape.copy()
result_data.ndim = self.ndim
result_data.device = self.device
result_data.requires_grad = self.requires_grad or other.requires_grad
if result_data.requires_grad:
result_data.grad_fn = AddBackward(self, other)
然后实现 .backward() 方法:
# norch/tensor.py
def backward(self, gradient=None):
if not self.requires_grad:
return
if gradient is None:
if self.shape == [1]:
gradient = Tensor([1]) # dx/dx = 1 的情况
else:
raise RuntimeError("对于非标量张量,必须指定梯度参数。")
if self.grad is None:
self.grad = gradient
else:
self.grad += gradient
if self.grad_fn is not None: # 不是叶子节点
grads = self.grad_fn.backward(gradient) # 调用操作的反向传播
for tensor, grad in zip(self.grad_fn.input, grads):
if isinstance(tensor, Tensor):
tensor.backward(grad) # 递归调用反向传播,以处理梯度表达式(链式法则)
最后,只需实现 .zero_grad() 以将张量的梯度置零,以及 .detach() 以移除张量的自动求导历史:
# norch/tensor.py
def zero_grad(self):
self.grad = None
def detach(self):
self.grad = None
self.grad_fn = None
恭喜!你刚刚创建了一个带有GPU支持和自动微分功能的完整张量库!现在我们可以创建nn和optim模块,以便更轻松地训练一些深度学习模型。
nn 是一个用于构建神经网络和深度学习模型的模块,而 optim 与用于训练这些模型的优化算法相关。为了重现这些功能,首先要实现一个 Parameter,它只是一个可训练的张量,具有相同的操作,但 requires_grad 始终设置为 True,并且使用一些随机初始化技术。
# norch/nn/parameter.py
from norch.tensor import Tensor
from norch.utils import utils
import random
class Parameter(Tensor):
"""
参数是一个可训练的张量。
"""
def __init__(self, shape):
data = utils.generate_random_list(shape=shape)
super().__init__(data, requires_grad=True)
# norch/utisl/utils.py
def 生成随机列表(shape):
"""
生成具有随机数字和形状为 'shape' 的列表
[4, 2] --> [[rand1, rand2], [rand3, rand4], [rand5, rand6], [rand7, rand8]]
"""
if len(shape) == 0:
return []
else:
inner_shape = shape[1:]
if len(inner_shape) == 0:
return [random.uniform(-1, 1) for _ in range(shape[0])]
else:
return [生成随机列表(inner_shape) for _ in range(shape[0])]
通过使用参数,我们可以开始构建模块:
# norch/nn/module.py
from .parameter import Parameter
from collections import OrderedDict
from abc import ABC
import inspect
class Module(ABC):
"""
模块的抽象类
"""
def __init__(self):
self._modules = OrderedDict()
self._params = OrderedDict()
self._grads = OrderedDict()
self.training = True
def forward(self, *inputs, **kwargs):
raise NotImplementedError
def __call__(self, *inputs, **kwargs):
return self.forward(*inputs, **kwargs)
def train(self):
self.training = True
for param in self.parameters():
param.requires_grad = True
def eval(self):
self.training = False
for param in self.parameters():
param.requires_grad = False
def parameters(self):
for name, value in inspect.getmembers(self):
if isinstance(value, Parameter):
yield self, name, value
elif isinstance(value, Module):
yield from value.parameters()
def modules(self):
yield from self._modules.values()
def gradients(self):
for module in self.modules():
yield module._grads
def zero_grad(self):
for _, _, parameter in self.parameters():
parameter.zero_grad()
def to(self, device):
for _, _, parameter in self.parameters():
parameter.to(device)
return self
def inner_repr(self):
return ""
def __repr__(self):
string = f"{self.get_name()}("
tab = " "
modules = self._modules
if modules == {}:
string += f'\n{tab}(parameters): {self.inner_repr()}'
else:
for key, module in modules.items():
string += f"\n{tab}({key}): {module.get_name()}({module.inner_repr()})"
return f'{string}\n)'
def get_name(self):
return self.__class__.__name__
def __setattr__(self, key, value):
self.__dict__[key] = value
if isinstance(value, Module):
self._modules[key] = value
elif isinstance(value, Parameter):
self._params[key] = value
例如,我们可以继承自 nn.Module 来构建我们自己的自定义模块,或者我们可以使用一些之前创建的模块,例如 linear,它实现了 y = W x + b 操作。
# norch/nn/modules/linear.py
from ..module import Module
from ..parameter import Parameter
class Linear(Module):
def __init__(self, input_dim, output_dim):
super().__init__()
self.input_dim = input_dim
self.output_dim = output_dim
self.weight = Parameter(shape=[self.output_dim, self.input_dim])
self.bias = Parameter(shape=[self.output_dim, 1])
def forward(self, x):
z = self.weight @ x + self.bias
return z
def inner_repr(self):
return f"input_dim={self.input_dim}, output_dim={self.output_dim}, " \
f"bias={True if self.bias is not None else False}"
现在我们可以实现一些损失和激活函数。例如,均方误差损失和Sigmoid函数:
# norch/nn/loss.py
from .module import Module
class MSELoss(Module):
def __init__(self):
pass
def forward(self, predictions, labels):
assert labels.shape == predictions.shape, \
"标签和预测的形状不匹配:{} 和 {}".format(labels.shape, predictions.shape)
return ((predictions - labels) ** 2).sum() / predictions.numel
def __call__(self, *inputs):
return self.forward(*inputs)
# norch/nn/activation.py
from .module import Module
import math
class Sigmoid(Module):
def __init__(self):
super().__init__()
def forward(self, x):
return 1.0 / (1.0 + (math.e) ** (-x))
最后,创建优化器。在我的示例中,我将实现随机梯度下降算法:
# norch/optim/optimizer.py
from abc import ABC
from norch.tensor import Tensor
class Optimizer(ABC):
"""
优化器的抽象类
"""
def __init__(self, parameters):
if isinstance(parameters, Tensor):
raise TypeError("parameters 应该是一个可迭代对象,但得到了 {}".format(type(parameters)))
elif isinstance(parameters, dict):
parameters = parameters.values()
self.parameters = list(parameters)
def step(self):
raise NotImplementedError
def zero_grad(self):
for module, name, parameter in self.parameters:
parameter.zero_grad()
class SGD(Optimizer):
def __init__(self, parameters, lr=1e-1, momentum=0):
super().__init__(parameters)
self.lr = lr
self.momentum = momentum
self._cache = {'velocity': [p.zeros_like() for (_, _, p) in self.parameters]}
def step(self):
for i, (module, name, _) in enumerate(self.parameters):
parameter = getattr(module, name)
velocity = self._cache['velocity'][i]
velocity = self.momentum * velocity - self.lr * parameter.grad
updated_parameter = parameter + velocity
setattr(module, name, updated_parameter)
self._cache['velocity'][i] = velocity
parameter.detach()
velocity.detach()
而且,就这样!我们刚刚创建了自己的深度学习框架! 🥳
让我们进行一些训练:
import norch
import norch.nn as nn
import norch.optim as optim
import random
import math
random.seed(1)
class MyModel(nn.Module):
def __init__(self):
super(MyModel, self).__init__()
self.fc1 = nn.Linear(1, 10)
self.sigmoid = nn.Sigmoid()
self.fc2 = nn.Linear(10, 1)
def forward(self, x):
out = self.fc1(x)
out = self.sigmoid(out)
out = self.fc2(out)
return out
device = "cuda"
epochs = 10
model = MyModel().to(device)
criterion = nn.MSELoss()
optimizer = optim.SGD(model.parameters(), lr=0.001)
loss_list = []
x_values = [0. , 0.4, 0.8, 1.2, 1.6, 2. , 2.4, 2.8, 3.2, 3.6, 4. ,
4.4, 4.8, 5.2, 5.6, 6. , 6.4, 6.8, 7.2, 7.6, 8. , 8.4,
8.8, 9.2, 9.6, 10. , 10.4, 10.8, 11.2, 11.6, 12. , 12.4, 12.8,
13.2, 13.6, 14. , 14.4, 14.8, 15.2, 15.6, 16. , 16.4, 16.8, 17.2,
17.6, 18. , 18.4, 18.8, 19.2, 19.6, 20.]
y_true = []
for x in x_values:
y_true.append(math.pow(math.sin(x), 2))
for epoch in range(epochs):
for x, target in zip(x_values, y_true):
x = norch.Tensor([[x]]).T
target = norch.Tensor([[target]]).T
x = x.to(device)
target = target.to(device)
outputs = model(x)
loss = criterion(outputs, target)
optimizer.zero_grad()
loss.backward()
optimizer.step()
print(f'Epoch [{epoch + 1}/{epochs}], Loss: {loss[0]:.4f}')
loss_list.append(loss[0])
# Epoch [1/10], Loss: 1.7035
# Epoch [2/10], Loss: 0.7193
# Epoch [3/10], Loss: 0.3068
# Epoch [4/10], Loss: 0.1742
# Epoch [5/10], Loss: 0.1342
# Epoch [6/10], Loss: 0.1232
# Epoch [7/10], Loss: 0.1220
# Epoch [8/10], Loss: 0.1241
# Epoch [9/10], Loss: 0.1270
# Epoch [10/10], Loss: 0.1297
图片由作者提供
模型使用我们自定义的深度学习框架成功创建并训练完成了!
你可以在这里查看完整的代码 here。
结论在这篇文章中,我们介绍了张量是什么、它是如何建模的以及更高级的主题,如CUDA和Autograd的基本概念。我们成功地创建了一个支持GPU和自动微分的深度学习框架。希望这篇文章能帮助你简要地了解PyTorch内部的工作原理。
在未来的文章中,我将尝试涵盖更多高级主题,例如分布式训练(多节点/多GPU)和内存管理。请在评论中告诉我您的想法,或者告诉我您希望我在下一篇文章中写些什么!非常感谢您的阅读!😊
也关注我在这里和我的 LinkedIn个人资料,以了解我最新的文章!
参考文献PyNorch — 该项目的 GitHub 仓库。
教程 CUDA — 一篇简短的介绍CUDA工作原理的文章。
PyTorch — PyTorch 文档。
MartinLwx的博客 — 介绍了步长的教程。
Stride 教程 — 另一个关于 strides 的教程。
PyTorch 内部结构 — 介绍 PyTorch 的结构指南。
Nets — 使用NumPy重现的PyTorch网络。
Autograd — 实时编码的 Autograd 库演示。
共同學習,寫下你的評論
評論加載中...
作者其他優質文章























