毕设做的无线信道常见模型仿真,收集了一些入门资料。这里把Rayleigh衰落信道的资料发出来,希望能帮到感兴趣的同学。主要包括 Rayleigh衰落信道特点;常见信道模型Clarke模型、Jakes模型和Zheng模型;本人搜集的参考资料和最终的程序。
Rayleigh衰落信道
瑞利分布:当一个随机二维向量的两个分量呈独立的、有着相同的方差的正态分布时,这个向量的模呈瑞利分布。瑞利分布的概率密度函数如下:
Rayleigh衰落信道假设基站和移动台只存在散射路径,它是平坦衰落信道的基础。莱斯信道和Nakagami-m信道可以在Rayleigh衰落信道基础上进行仿真。
Clarke模型、Jakes模型和Zheng模型
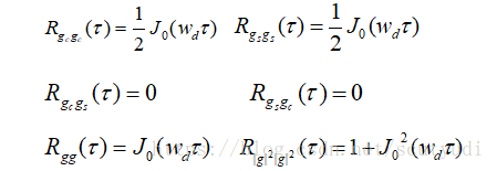
Clarke模型(使用成型滤波法仿真)
数学表达:
统计特性:
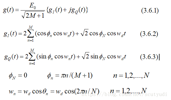
Jakes模型(使用正弦波叠加法仿真)
数学表达:
统计特性:
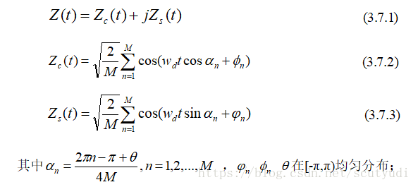
改进Jakes模型(Zheng模型)
资料整理
参考博客
瑞利信道:从原理到实现 https://blog.csdn.net/caozhk/article/details/19929435
信道模型 Channel Modal 小结_lolfried_新浪博客(1)http://blog.sina.com.cn/s/blog_59c21e840100hrkm.html
信道模型 Channel Modal 小结_lolfried_新浪博客(1)http://blog.sina.com.cn/s/blog_59c21e840100hswg.html
参考资料和程序
链接:https://pan.baidu.com/s/1eFNFGfK6rOBeuzOsHppIiw 密码:umxd
共同學習,寫下你的評論
評論加載中...
作者其他優質文章










