介绍
打开你的搜索引擎,输入一个单词或一部分,例如“我”,搜索引擎可能会去统计和“我”一块出现得多的词,然后返回给你。其实就是去找频繁项集,而且需要相当地高效,像Apriori那样的速度肯定是不行的了。
本文要介绍的是FP-growth算法,它被用于挖掘频繁项集,它把数据集存储为一个叫FP树的数据结构里,这样可以更高效地发现频繁项集或频繁项对。相比于Apriori对每个潜在的频繁项集都扫描数据集判定是否满足支持度,FP-growth算法只需要遍历两次数据库,因此它在大数据集上的速度显著优于Apriori。
本文的内容和代码主要来源于《机器学习实战》,加入一些自己的理解和测试,有兴趣可以去看看原书。
FP树
FP即Frequent Pattern,FP树看上去就是一棵前缀树,根节点是空集,结点上是单个元素,保存了它在数据集中的出现次数,出现次数越多的元素越接近根。此外,结点之间通过链接(link)相连,只有相似元素会被连起来,连起来的元素又可以看成链表。同一个元素可以在FP树中多次出现,根据位置不同,对应着不同的频繁项集。可以为FP树设置最小支持度,过滤掉出现次数太少的元素。
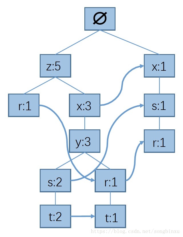
下面这个数据集构造FP树如下图所示。
| instance id | elements |
|---|---|
| 0 | r, z, h, j, p |
| 1 | z, y, x, w, v, u, t, s |
| 2 | z |
| 3 | r, x, n, o, s |
| 4 | y, r, x, z, q, t, p |
| 5 | y, z, x, e, q, s, t, m |

这棵树每个结点上都是一个单独的元素,及其在路径中的出现次数,例如"z:5"表示集合{z}出现了5次,而"x:3"表示集合{z,x}出现了3次,这是路径相关的。
FP树结点
树结点定义如下,name存放结点名字,count用于计数,nodeLink用于连接相似结点(即图中箭头),parent用于存放父节点,用于回溯,children存放儿子结点(即图中实线)。disp仅用于输出调试。
class treeNode:
def __init__(self, nameValue, numOccur, parentNode):
self.name = nameValue
self.count = numOccur
self.nodeLink = None
self.parent = parentNode
self.children = {} def inc(self, numOccur):
self.count += numOccur def disp(self, ind=1):
print ' '*ind, self.name, ' ', self.count for child in self.children.values():
child.disp(ind+1)构建FP树
为了能方便地访问FP树种每一个不同的元素,需要为每种元素(的链表)设置一个头(header),这个header除了指向指定元素的第一个结点外,还可以保存该元素在数据集中的总出现次数。

首先,遍历一次数据集,统计每个元素出现的次数,然后把出现次数较小的滤掉(例如选取最小支持度3,将出现次数小于3的元素滤除),然后对每个样本按照元素出现次数重排序。上面给出的数据集样例中,出现次数不小于3的元素有:z、r、x、y、s、t,滤除并重排后的样本如下所示。
| instance id | elements | filtered & sorted elements |
|---|---|---|
| 0 | r, z, h, j, p | r, z |
| 1 | z, y, x, w, v, u, t, s | z, x, y, s, t |
| 2 | z | z |
| 3 | r, x, n, o, s | x, s, r |
| 4 | y, r, x, z, q, t, p | z, x, y, r, t |
| 5 | y, z, x, e, q, s, t, m | z, x, y, s, t |
接着,构造FP树。从根节点∅开始,将过滤并排序后的样本一个个加入树中,若FP树不存在现有元素则添加分支,若存在则增加相应的值。下图给出了从根节点∅开始依次添加三个样本(过滤且排序)后FP的情况。
那么对于单个样本,FP树应该怎么生长呢?自然而然地想到递归。因为每个样本都是排序过的,频数高的频繁项集在前面,它总是更接近根结点,所以也可以把每个样本看成一棵子树,而我们要做的就是把子树添加到FP树里。因此每次只需判断第一个结点是否是根的儿子,若是则增加计数,若不是则增加分枝,然后递归调用构造FP树,传入第二个元素开始的子树即可。比如上例中往根节点∅增加样本(z,r)时,根没有z这个儿子,因此增加分支z。接着,只需递归地构造FP树,传入(r),发现当前FP树∅-z也没有r这个儿子,因此增加分支r。最终递归返回,引入样本(z,r)后构造的FP树就是∅-z-r。
下图详细地描述了这个过程,代码中updateFPtree()函数实现了这个功能。

FP树构造代码实现
def updateHeader(nodeToTest, targetNode):
while nodeToTest.nodeLink != None:
nodeToTest = nodeToTest.nodeLink
nodeToTest.nodeLink = targetNodedef updateFPtree(items, inTree, headerTable, count):
if items[0] in inTree.children: # 判断items的第一个结点是否已作为子结点
inTree.children[items[0]].inc(count) else: # 创建新的分支
inTree.children[items[0]] = treeNode(items[0], count, inTree) # 更新相应频繁项集的链表,往后添加
if headerTable[items[0]][1] == None:
headerTable[items[0]][1] = inTree.children[items[0]] else:
updateHeader(headerTable[items[0]][1], inTree.children[items[0]]) # 递归
if len(items) > 1:
updateFPtree(items[1::], inTree.children[items[0]], headerTable, count)def createFPtree(dataSet, minSup=1):
headerTable = {} for trans in dataSet: for item in trans:
headerTable[item] = headerTable.get(item, 0) + dataSet[trans] for k in headerTable.keys(): if headerTable[k] < minSup: del(headerTable[k]) # 删除不满足最小支持度的元素
freqItemSet = set(headerTable.keys()) # 满足最小支持度的频繁项集
if len(freqItemSet) == 0: return None, None
for k in headerTable:
headerTable[k] = [headerTable[k], None] # element: [count, node]
retTree = treeNode('Null Set', 1, None) for tranSet, count in dataSet.items(): # dataSet:[element, count]
localD = {} for item in tranSet: if item in freqItemSet: # 过滤,只取该样本中满足最小支持度的频繁项
localD[item] = headerTable[item][0] # element : count
if len(localD) > 0: # 根据全局频数从大到小对单样本排序
orderedItem = [v[0] for v in sorted(localD.items(), key=lambda p:p[1], reverse=True)] # 用过滤且排序后的样本更新树
updateFPtree(orderedItem, retTree, headerTable, count) return retTree, headerTable测试实例
# 数据集def loadSimpDat():
simDat = [['r','z','h','j','p'],
['z','y','x','w','v','u','t','s'],
['z'],
['r','x','n','o','s'],
['y','r','x','z','q','t','p'],
['y','z','x','e','q','s','t','m']] return simDat# 构造成 element : count 的形式def createInitSet(dataSet):
retDict={} for trans in dataSet:
key = frozenset(trans) if retDict.has_key(key):
retDict[frozenset(trans)] += 1
else:
retDict[frozenset(trans)] = 1
return retDict
simDat = fpgrowth.loadSimpDat()
initSet = fpgrowth.createInitSet(simDat)
myFPtree, myHeaderTab = fpgrowth.createFPtree(initSet, 3) # 最小支持度3myFPtree.disp()输出结果如下,构造出来的FP树与上面给出的图是等价的。
Null Set 1 x 1 s 1 r 1 z 5 x 3 y 3 s 2 t 2 r 1 t 1 r 1
从FP树挖掘频繁项集
从FP挖掘频繁项集的步骤如下:
从FP树提取条件模式基
用条件模式基构造FP树
重复1和2直到树只包含一个元素
提取条件模式基
条件模式基(conditional pattern base)定义为以所查找元素为结尾的所有前缀路径(prefix path)的集合。我们要做的就是从header列表开始,针对每一个频繁项,都查找其对应的条件模式基。举个例子,如下图所示,元素"r"的前缀路径是{z}、{z,x,y}和{x,s}。同时,每一个路径要与起始元素的计数值关联。

| 频繁项 | 前缀路径集合(条件模式基) |
|---|---|
| z | {} 5 |
| r | {x,s} 1, {z,x,y} 1, {z} 1 |
| x | {z} 3, {} 1 |
| y | {z,x} 3 |
| s | {z,x,y} 2, {x} 1 |
| t | {z,x,y,s} 2, {z,x,y,r} 1 |
代码实现查找以目标元素结尾的所有路径(条件模式基)
# 递归回溯def ascendFPtree(leafNode, prefixPath):
if leafNode.parent != None:
prefixPath.append(leafNode.name)
ascendFPtree(leafNode.parent, prefixPath)# 条件模式基def findPrefixPath(basePat, myHeaderTab):
treeNode = myHeaderTab[basePat][1] # basePat在FP树中的第一个结点
condPats = {} while treeNode != None:
prefixPath = []
ascendFPtree(treeNode, prefixPath) # prefixPath是倒过来的,从treeNode开始到根
if len(prefixPath) > 1:
condPats[frozenset(prefixPath[1:])] = treeNode.count # 关联treeNode的计数
treeNode = treeNode.nodeLink # 下一个basePat结点
return condPats测试用例
print fpgrowth.findPrefixPath('z', myHeaderTab)print fpgrowth.findPrefixPath('r', myHeaderTab)print fpgrowth.findPrefixPath('x', myHeaderTab)输出结果与上表是一致的,区别在于省略了空集。
{}
{frozenset(['x', 's']): 1, frozenset(['z']): 1, frozenset(['y', 'x', 'z']): 1}
{frozenset(['z']): 3}创建条件FP树
对每一个频繁项,都建立一棵条件FP树。上面我们对每一个频繁项提取了条件模式基,现在就用它作为输入数据,即把每一个前缀路径当成一个样本,调用createFPtree()构造一棵FP树,即条件FP树。然后,对这个条件FP树,递归地挖掘。由于createFPtree()中含有过滤的功能,因此最终总能获得所有满足最小支持度的频繁项,即我们所需要的频繁项集。

def mineFPtree(inTree, headerTable, minSup, preFix, freqItemList): # 最开始的频繁项集是headerTable中的各元素 bigL = [v[0] for v in sorted(headerTable.items(), key=lambda p:p[1])] # 根据频繁项的总频次排序 for basePat in bigL: # 对每个频繁项 newFreqSet = preFix.copy() newFreqSet.add(basePat) freqItemList.append(newFreqSet) condPattBases = findPrefixPath(basePat, headerTable) # 当前频繁项集的条件模式基 myCondTree, myHead = createFPtree(condPattBases, minSup) # 构造当前频繁项的条件FP树 if myHead != None: # print 'conditional tree for: ', newFreqSet # myCondTree.disp(1) mineFPtree(myCondTree, myHead, minSup, newFreqSet, freqItemList) # 递归挖掘条件FP树
测试
获取数据集中出现次数不小于3的组合。
simDat = fpgrowth.loadSimpDat() initSet = fpgrowth.createInitSet(simDat) myFPtree, myHeaderTab = fpgrowth.createFPtree(initSet, 3) freqItems = [] fpgrowth.mineFPtree(myFPtree, myHeaderTab, 3, set([]), freqItems)for x in freqItems: print x
输出结果,可以对照一下,这些组合出现的次数都至少为3。
set(['y']) set(['y', 'x']) set(['y', 'z']) set(['y', 'x', 'z']) set(['s']) set(['x', 's']) set(['t']) set(['y', 't']) set(['x', 't']) set(['y', 'x', 't']) set(['z', 't']) set(['x', 'z', 't']) set(['y', 'x', 'z', 't']) set(['y', 'z', 't']) set(['r']) set(['x']) set(['x', 'z']) set(['z'])
代码中存在的bug
出于测试,我把createFPtree中的最小支持度改成了2,意思是允许出现次数为2的单元素频繁项p和q参与进来,理论上mineFPtree生成的频繁项集应当只增无减才对,然而结果却是减少了,而且频繁项{y,x,z,t}不见了,说明代码有问题。
经过排查,我认为错误出在按照频次对样本过滤与排序那里。如果有两个元素频次相同,python2的稳定排序会保持他们在原本字典中的顺序。为了解决这个问题,需要修改createFPtree函数中对样本排序的部分,使得两元素在频次相同时按照字母顺序排序。
def createFPtree(dataSet, minSup=1): ... if len(localD) > 0: # 根据全局频数从大到小对单样本排序 orderedItem = [v[0] for v in sorted(localD.iteritems(), key=lambda p:(p[1], -ord(p[0])), reverse=True)]
示例: 从新闻网站点击流中挖掘
数据集kosarak.dat可以从这里下载,它的每一条记录是某个用户浏览过的新闻报道,总共99w条样本,新闻报道被编码成index。使用FP-growth,查看有哪些新闻报道集合被超过10w人浏览。
# 准备数据with open("./data/kosarak.dat", "rb") as f:
parsedDat = [line.split() for line in f.readlines()]
initSet = fpgrowth.createInitSet(parsedDat)# 用数据集构造FP树,最小支持度10wmyFPtree, myHeaderTab = fpgrowth.createFPtree(initSet, 100000)# 挖掘FP树freqItems = []
fpgrowth.mineFPtree(myFPtree, myHeaderTab, 100000, set([]), freqItems)for x in freqItems: print x输出结果如下,在我的macbook上,整个过程仅耗时13秒。
set(['1']) set(['1', '6']) set(['11']) set(['11', '3']) set(['11', '3', '6']) set(['11', '6']) set(['3']) set(['3', '6']) set(['6'])
针对上面提到的bug,由于kosarak.dat中的元素都是字符串化的整数,故createFPtree中排序的部分应该修改成:
... orderedItem = [v[0] for v in sorted(localD.iteritems(), key=lambda p:(p[1], int(p[0])), reverse=True)]
总结
FP-growth其实是一种特殊的数据结构的应用,本质上是某种前缀树+相似元素链表的结构。FP-growth算法提供了一种相对更快的发现频繁项集的方法,它之所以快,是因为它只遍历1次数据集,即可将整个数据集构造成一棵FP树,之后从FP树中发现频繁项集。提取出频繁项集之后,就可以进一步挖掘关联规则,比如Apriori算法中的方法(详情可见这里)。
书中算法的实现大量使用了递归,这里可能有个问题,就是递归层数过深。
完整代码
https://github.com/SongDark/FPgrowth
参考资料
《机器学习实战》
FP-growth算法高效发现频繁项集(Python代码)
共同學習,寫下你的評論
評論加載中...
作者其他優質文章

