目标
说明K-近邻算法的距离公式
说明K-近邻算法的超参数K值以及取值问题
说明K-近邻算法的优缺点
应用KNeighborsClassifier实现分类
了解分类算法的评估标准准确率
应用:Facebook签到位置预测
K-近邻算法(KNN)
定义
如果一个样本在特征空间中的k个最相似(即特征空间中最邻近)的样本中的大多数属于某一个类别,则该样本也属于这个类别,即由你的“邻居”来推断出你的类别
来源:KNN算法最早是由Cover和Hart提出的一种分类算法
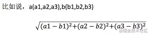
距离公式
两个样本的距离可以通过如下公式计算,又叫欧式距离
曼哈顿距离 绝对值距离
明可夫斯基距离
电影类型分析
假设我们有现在几部电影
其中? 号电影不知道类别,如何去预测?我们可以利用K近邻算法的思想
问题
如果取的最近的电影数量不一样?会是什么结果?
k 值取值过大,样本不均衡的影响
k 值取值过小,容易受到异常点影响
结合前面的约会对象数据,分析k-近邻算法需要做怎么样的处理
无量纲化的处理
推荐 标准还
K-近邻算法数据的特征工程处理
结合前面的约会对象数据,分析K-近邻算法需要做什么样的处理
K-近邻算法API
sklearn.neighbors.KNeighborsClassifier(n_neighbors=5,algorithm='auto')
n_neighbors:int,可选(默认= 5),k_neighbors查询默认使用的邻居数
algorithm:{‘auto’,‘ball_tree’,‘kd_tree’,‘brute’},可选用于计算最近邻居的算法:‘ball_tree’将会使用 BallTree,‘kd_tree’将使用 KDTree。‘auto’将尝试根据传递给fit方法的值来决定最合适的算法。 (不同实现方式影响效率)
案例1 鸢尾花种类预测
数据集介绍
Iris数据集是常用的分类实验数据集,由Fisher, 1936收集整理。Iris也称鸢尾花卉数据集,是一类多重变量分析的数据集。关于数据集的具体介绍:
步骤
获取数据
数据集划分
特征工程
标准化
机器学习训练 KNN 预估器流程
模型评估
代码
from sklearn.datasets import load_iris
from sklearn.model_selection import train_test_split
from sklearn.neighbors import KNeighborsClassifier
from sklearn.preprocessing import StandardScaler
def knn_iris():
# 1) 获取数据
iris = load_iris()
# 2) 数据集划分
x_train, x_test, y_train, y_test = train_test_split(iris.data, iris.target, random_state=22)
# 3) 特征工程 标准化
transfer = StandardScaler()
# 训练集做标准化
x_train = transfer.fit_transform(x_train)
# 测试集 标准化 转化
x_test = transfer.transform(x_test)
# 4) KNN 预估器流程
estimator = KNeighborsClassifier(n_neighbors=3)
estimator.fit(x_train, y_train)
# 5) 模型评估
# 方法一:直接比对真实值和预测值
y_predict = estimator.predict(x_test)
print("预测(y_predict):\n", y_predict)
print("直接比对真实值和预测值:\n", y_test == y_predict)
# 方法二:计算准确率
score = estimator.score(x_test, y_test)
print("准确率为:\n", score)
return None
if __name__ == '__main__':
knn_iris()
K-近邻总结
优点
简单,易于理解,易于实现,无需训练
缺点
懒惰算法,对测试样本分类时的计算量大,内存开销大
必须指定K值,K值选择不当则分类精度不能保证
使用场景:小数据场景,几千~几万样本,具体场景具体业务去测试
作者:后端码匠
链接:https://juejin.cn/post/6995745712336011271
来源:掘金
著作权归作者所有。商业转载请联系作者获得授权,非商业转载请注明出处。
共同學習,寫下你的評論
評論加載中...
作者其他優質文章




