前言
大家好啊,我是汤圆,今天给大家带来的是《Java中的集合Set - 入门篇》,希望对大家有帮助,谢谢
简介
正文
Set从外面看像List(都是存储单一数据的集合),只不过存储的数据不会有重复;
但是里面却是Map映射(因为它内存存储是基于Map结构实现),这也是为什么把Set放到Map后面来说的原因。
Set和Map有什么关系呢?
因为Map的键不会有重复,所以Set就利用了Map的这个特点,将其作为内部成员变量来使用
比如我们看下HashSet内部的源码,可以看到,基本上所有操作都是基于其内部的成员变量HashMap进行的
private transient HashMap<E,Object> map;
// 这个常量只是为了适配Map的键值对结构,无实际意义
private static final Object PRESENT = new Object();
public HashSet() {
map = new HashMap<>();
}
public int size() {
return map.size();
}
public boolean contains(Object o) {
return map.containsKey(o);
}
public boolean add(E e) {
return map.put(e, PRESENT)==null;
}
public boolean remove(Object o) {
return map.remove(o)==PRESENT;
}
Set的种类
Set的种类类似Map
Set主要有三种类型:HashSet(常用)、TreeSet(树形结构)、LinkedHashSet(前两者的结合)
我们先来看一下Set接口主要的几个方法:
boolean add(E e):往Set中添加元素boolean contains(Object o):查询Set是否包含指定对象boolean remove(Object o):从Set中删除指定对象int size():返回Set的元素数量
下面我们简单看下三者的区别
接下来我们以HashSet为例,来介绍Set接口
HashSet
HashSet是一个无序集合
因为它内部是基于HashMap实现
上面的源码我们有看到,HashSet每插入一个元素,就将该元素作为内部hashMap的key,然后常量Object作为hashMap的value,存储到hashMap中
- 如果元素的hash值没有重复,就按照数组的方式依次排列;
- 如果hash值有重复的,就添加到已有的值对后面,形成链表结构;
整体结构 如下图所示
下面用代码示范一下
public class SetDemo {
public static void main(String[] args) {
// 初始化
Set<Integer> set = new HashSet<>();
// 添加元素
set.add(10);
// 元素数量
int size = set.size();
System.out.println(size);
// 查询元素是否存在
boolean isContain = set.contains(10);
System.out.println(set);
// 删除
set.remove(10);
System.out.println(set);
}
}
TreeSet
TreeSet在插入的时候,可以按照元素进行排序(默认升序)
它适合用在排序比较多的场景,性能会比HashSet差一些
下面用代码示范一下**(重点要来了)**
public class SetDemo {
public static void main(String[] args) {
// TreeSet
B b = new B();
// 初始化
Set<B> set2 = new TreeSet<>();
// 添加元素
set2.add(b);
// 元素数量
int size2 = set2.size();
System.out.println(size2);
// 查询元素是否存在
boolean isContain2 = set2.contains(b);
System.out.println(set2);
// 删除
set2.remove(b);
System.out.println(set2);
}
}
class B{
}
这段代码看似一切正常,实则暗藏玄机
如果你运行这段代码,会报出下面的错误提示:类B不能转换为Comparable。
可是为什么要转换呢?我也没有转换啊
那是因为内部自动转换了
TreeSet啥时候会自动将元素类转为Comparable呢?
是在你插入第一个数据开始,内部就已经开始在做比较了(第一次先自己跟自己做比较,目的就是检查你这个数据有没有实现Comparable接口);
后面每插一个数据,都要从根节点开始挨个比较排序
这其实也算也是TreeSet内部排序的工作原理
所以上面这段代码需要让B实现Comparable接口,改后如下所示
public class SetDemo {
public static void main(String[] args) {
// TreeSet
B b = new B();
// 初始化
Set<B> set2 = new TreeSet<>();
// 添加元素
// 此时运行没问题
set2.add(b);
// 元素数量
int size2 = set2.size();
System.out.println(size2);
// 查询元素是否存在
boolean isContain2 = set2.contains(b);
System.out.println(set2);
// 删除
set2.remove(b);
System.out.println(set2);
}
}
// 这里实现了Comparable
class B implements Comparable{
@Override
public int compareTo(Object o) {
return this.hashCode()>o.hashCode() ? 1 : -1;
}
}
此时运行就没问题了
那为什么TreeMap没有这个问题呢?
其实TreeMap也有这个问题,只是TreeMap的键key一般都是字符串或者整型,而字符串和整型对象内部已经实现了Comparable接口,所以问题不大(因为用自定义对象做键key的毕竟还是少数)
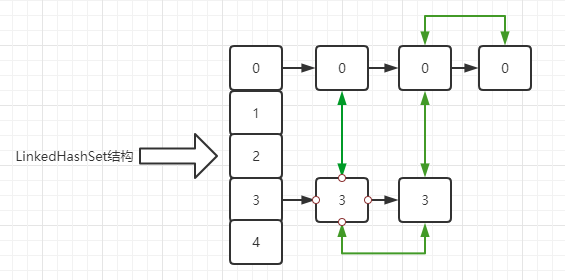
LinkedHashSet
LinkedHashSet拥有HashSet的大部分优点,且保证了插入的顺序,使得在查询的时候,可以按照插入的顺序依次读取(原理是链表)
这里要注意一点:在Java程序语言设计中,所有的链表都是双向链表,即每个节点还存放着一个指向前节点的引用
大致的结构图如下所示(之前的LinkedHashMap忘记贴图了,跟这个类似,只是元素内容不同):
三者的排序比较
参考上一篇映射Map,Set排序比较表现出来的行为与Map一致
总结
Set一般用到的有HashSet,TreeSet,LinkedHashSet,内部都是无重复元素
-
HashSet的插入和访问都很快,但是内部是无序排列
-
TreeSet的插入和访问都很慢,但是内部是有序排列,默认按升序排列
-
LinkedHashSet拥有HashSet的大部分优点,而且还可以按照元素插入的顺序来访问元素,但是性能会比HashSet差
作者: 汤圆学Java
原文出处:https://www.cnblogs.com/jalon/p/14609815.html
共同學習,寫下你的評論
評論加載中...
作者其他優質文章




