一 引言
自2012年AlexNet以来,卷积神经网络(简称CNN)在图像分类、图像分割、目标检测等领域获得广泛应用。随着性能的要求越来越高,AlexNet已经无法满足大家的需求,于是乎各路大牛纷纷提出性能更优越的CNN网络,如VGG,GoogLeNet,ResNet,DenseNet等。由于神经网络的性质,为了获得更好的性能,网络层数不断增加,从7层AlexNet到16层VGG,再从16层VGG到GoogLeNet的22层,再从22层到152层ResNet,更有上千层的ResNet和DenseNet。虽然网络性能得到了提高,但随之而来的就是效率问题。
效率问题主要是模型的存储问题和模型进行预测的速度问题(以下简称速度问题)
第一,存储问题。数百层网络有着大量的权值参数,保存大量权值参数对设备的内存要求很高;
第二,速度问题。在实际应用中,往往是毫秒级别,为了达到实际应用标准,要么提高处理器性能(看英特尔的提高速度就知道了,这点暂时不指望),要么就减少计算量。
只有解决CNN效率问题,才能让CNN走出实验室,更广泛的应用于移动端。对于效率问题,通常的方法是进行模型压缩(Model Compression),即在已经训练好的模型上进行压缩,使得网络携带更少的网络参数,从而解决内存问题,同时可以解决速度问题。
相比于在已经训练好的模型上进行处理,轻量化模型模型设计则是另辟蹊径。轻量化模型模型设计,主要思想在于设计更高效的“网络计算方式”(主要针对卷积方式),从而使网络参数减少的同时,不损失网络性能。
本文就近年提出的四个轻量化模型进行学习和对比,四个模型分别是:SqueezeNet, MobileNet, ShuffleNet, Xception
(PS: 以上四种模型都不是模型压缩方法!!)
以下是4个模型的作者团队及发表时间
| 网络 | 最早公开日期 | 发表情况 | 作者团队 | arXiv链接 |
|---|---|---|---|---|
| SqueezeNet | 2016.02 | ICLR-2017 | 伯克利&斯坦福 | https://arxiv.org/abs/1602.07360 |
| MobileNet | 2016.04 | CVPR-2017 | https://arxiv.org/abs/1704.04861 | |
| ShuffleNet | 2016.06 | N/A | Face++ | https://arxiv.org/abs/1707.01083 |
| Xception | 2016.10 | CVPR-2017 | https://arxiv.org/abs/1610.02357 |
其中ShuffleNet论文中引用了SqueezeNet、Xception、MobileNet;Xception 论文中引用了MobileNet
二 轻量化模型
由于这四种轻量化模型仅是在卷积方式上提出创新,因此本文仅对轻量化模型的创新点进行详细描述,对模型实验以及实现的细节感兴趣的朋友,请到论文中详细阅读。
2.1 SqueezeNet
SqueezeNet由伯克利&斯坦福的研究人员合作发表于ICLR-2017,论文标题:
《SQUEEZENET: ALEXNET-LEVEL ACCURACY WITH 50X FEWER PARAMETERS AND <0.5MB MODEL SIZE》
(http://blog.csdn.net/u011995719/article/details/78908755)
命名
从名字SqueezeNet就知道,本文的新意是squeeze,squeeze在SqueezeNet中表示一个squeeze层,该层采用1*1卷积核对上一层feature map进行卷积,主要目的是减少feature map的维数(维数即通道数,就是一个立方体的feature map,切成一片一片的,一共有几片)。
创新点
1. 采用不同于传统的卷积方式,提出fire module;fire module包含两部分:squeeze层+expand层
创新点与inception系列的思想非常接近!首先squeeze层,就是1*1卷积,其卷积核数要少于上一层feature map数,这个操作从inception系列开始就有了,并美其名曰压缩,个人觉得“压缩”更为妥当。
Expand层分别用1*1 和3*3 卷积,然后concat,这个操作再inception系列里面也有。
—————————————-分割线———————————
SqueezeNet的核心在于Fire module,Fire module 由两层构成,分别是squeeze层+expand层,如下图1所示,squeeze层是一个1*1卷积核的卷积层,expand层是1*1 和3*3卷积核的卷积层,expand层中,把1*1 和3*3 得到的feature map 进行concat。
具体操作情况如下图所示:
Fire module输入的feature map为H*W*M的,输出的feature map为H*M*(e1+e3),可以看到feature map的分辨率是不变的,变的仅是维数,也就是通道数,这一点和VGG的思想一致。
首先,H*W*M的feature map经过Squeeze层,得到S1个feature map,这里的S1均是小于M的,以达到“压缩”的目的,详细思想可参考Google的Inception系列。
其次,H*W*S1的特征图输入到Expand层,分别经过1*1卷积层和3*3卷积层进行卷积,再将结果进行concat,得到Fire module的输出,为 H*M*(e1+e3)的feature map。
fire模块有三个可调参数:S1,e1,e3,分别代表卷积核的个数,同时也表示对应输出feature map的维数,在本文提出的SqueezeNet结构中,e1=e3=4s1 。
讲完SqueezeNet的核心——Fire module,看看SqueezeNet的网络结构,如下图所示:
网络结构设计思想,同样与VGG的类似,堆叠的使用卷积操作,只不过这里堆叠的使用本文提出的Fire module(图中用红框部分)
看看Squezeenet的参数数量以及性能:
在这里可以看到,论文题目中提到的小于0.5M,是采用了Deep Compression进行模型压缩之后的结果!!
看了上图再回头看一看论文题目:
SqueezeNet :AlexNet-level accuracy with 50x fewer parameters and <0.5MB
标!题!党! SqueezeNet < 0.5MB, 这个是用了别的模型压缩技术获得的,很容易让人误以为SqueezeNet可以压缩模型!!
SqueezeNet小结:
1 Fire module 与GoogLeNet思想类似,采用1*1卷积对feature map的维数进行“压缩”,从而达到减少权值参数的目的;
2 采用与VGG类似的思想——堆叠的使用卷积,这里堆叠的使用Fire module
SqueezeNet与GoogLeNet和VGG的关系很大!
2.2 MobileNet
MobileNet 由Google团队提出,发表于CVPR-2017,论文标题:
《MobileNets: Efficient Convolutional Neural Networks for Mobile Vision Applications》(http://blog.csdn.net/u011995719/article/details/78850275)
命名
MobileNet的命名是从它的应用场景考虑的,顾名思义就是能够在移动端使用的网络模型。
创新点
1. 采用名为depth-wise separable convolution 的卷积方式代替传统卷积方式,以达到减少网络权值参数的目的。
通过采用depth-wise convolution的卷积方式,达到:1.减少参数数量 2.提升运算速度。(这两点是要区别开的,参数少的不一定运算速度快!)
depth-wise convolution不是MobileNet提出来的,也是借鉴,文中给的参考文献是 2014年的博士论文——《L. Sifre. Rigid-motion scattering for image classification. hD thesis, Ph. D. thesis, 2014》
depth-wise convolution 和 group convolution其实是一样的,都是一个卷积核负责一部分feature map,每个feature map只被一个卷积核卷积。
———————————–分割线————————————-
MobileNets精华在于卷积方式——depth-wise separable convolution;采用depth-wise separable convolution,会涉及两个超参:Width Multiplier和Resolution Multiplier这两个超参只是方便于设置要网络要设计为多小,方便于量化模型大小。
depth-wise convolution是将标准卷积分成两步:第一步 Depthwise convolution,即逐通道的卷积,一个卷积核负责一个通道,一个通道只被一个卷积核“滤波”;
第二步,Pointwise convolution,将depthwise convolution得到的feature map再“串”起来 ,注意这个“串”是很重要的。“串”作何解?为什么还需要 pointwise convolution?作者说:However it only filters input channels, it does not combine them to create new features. Soan additional layer that computes a linear combination ofthe output of depthwise convolution via 1 × 1 convolutionis needed in order to generate these new features。
首先要承认一点:输出的每一个feature map要包含输入层所有feature map的信息。仅采用depthwise-convolution,是没办法做到这点,因此需要pointwise convolution的辅助。
“输出的每一个feature map要包含输入层所有feature map的信息” 这个是所有采用depth-wise convolution操作的网络都要去解决的问题,ShuffleNet中的命名就和这个有关!详细请看2.3
Standard convolution、depthwise convolution和pointwiseconvolution示意图如下:
其中输入的feature map有M个,输出的feature map有N个。
Standard convolution呢,是采用N个大小为DK*DK的卷积核进行操作(注意卷积核大小是DK*DK, DK*DK*M是具体运算时候的大小!)
而depthwise convolution + pointwise convolution需要的卷积核呢?
Depthwise convolution :一个卷积核负责一个通道,一个通道只被一个卷积核卷积;则这里有M个DK*DK的卷积核;
Pointwise convolution:为了达到输出N个feature map的操作,所以采用N个1*1的卷积核进行卷积,这里的卷积方式和传统的卷积方式是一样的,只不过采用了1*1的卷积核;其目的就是让新的每一个feature map包含有上一层各个feature map的信息!在此理解为将depthwise convolution的输出进行“串”起来。
————————————–分割线———————————-
下面举例讲解 Standard convolution、depthwise convolution和pointwise convolution 。
假设输入的feature map 是两个5*5的,即5*5*2;输出feature map数量为3,大小是3*3(因为这里采用3*3卷积核)即3*3*3。
标准卷积,是将一个卷积核(3*3)复制M份(M=2), 是让二维的卷积核(面包片)拓展到与输入feature map一样的面包块形状。例如,我们设置3个 3*3的卷积核,如下图Kernel所示,但是在实际计算当中,卷积核并不是3*3*3这么多,而是3*3*2*3 ( w*h*c_in*c_out) 。也就是上面所说的把二维的卷积核拓展到与feature map一样的面包块形状,如下图的K1 扩展成 K11,K12 。
(注:不是复制M份,因为每个二维卷积核的参数是不一样的,因此不是复制!感谢DSQ_17这位朋友指出错误。)
2018年3月15日补充:实际上,卷积核实际的尺寸应该是 w*h*c_in*c_out。往往,我们忽略掉c_in这个数,在设置卷积核数量时,也不会涉及到这个参数,但是在计算过程中是不能忽略的。
其中,w*h就是通常我们所说的卷积核大小,例如3*3,5*5,7*7等;c_out是平时我们讲的卷积核个数,例如该卷积层设置了64个卷积核,则c_out = 64;而c_in则是等于上一层的feature map的数量。
Standard过程如下图,X表示卷积,+表示对应像素点相加,可以看到对于O1来说,其与输入的每一个feature map都“发生关系”,包含输入的各个feature map的信息。
Depth-wise 过程如下图,而Depthwise并没有,可以看到depthwise convolution 得出的两个feature map——fd1 和fd2分别只与i1和i2 “发生关系” ,这就导致违背上面所承认的观点“输出的每一个feature map要包含输入层所有feature map的信息”,因而要引入pointwise convolution
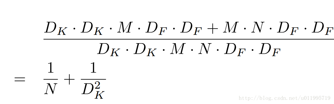
那么计算量减少了多少呢?通过如下公式计算:
其中DK为标准卷积核大小,M是输入feature map通道数,DF为输入feature map大小,N是输出feature map大小。本例中,DK=3,M=2,DF=5,N=3 , 参数的减少量主要就与卷积核大小DK有关。在本文MobileNet的卷积核采用DK=3,则大约减少了8~9倍计算量。
看看MobileNet的网络结构,MobileNet共28层,可以发现这里下采样的方式没有采用池化层,而是利用depth-wise convolution的时候将步长设置为2,达到下采样的目的。
1.0 MobileNet-224 与GoogLeNet及VGG-16的对比:
可以发现,相较于GoogLeNet,虽然参数差不多,都是一个量级的,但是在运算量上却小于GoogLeNet一个量级,这就得益于 depth-wise convolution !
MobileNet小结:
1. 核心思想是采用depth-wise convolution操作,在相同的权值参数数量的情况下,相较于standard convolution操作,可以减少数倍的计算量,从而达到提升网络运算速度的目的。
depth-wise convolution的思想非首创,借鉴于 2014年一篇博士论文:《L. Sifre. Rigid-motion scattering for image classification. hD thesis, Ph. D. thesis, 2014》
采用depth-wise convolution 会有一个问题,就是导致“信息流通不畅”,即输出的feature map仅包含输入的feature map的一部分,在这里,MobileNet采用了point-wise convolution解决这个问题。在后来,ShuffleNet采用同样的思想对网络进行改进,只不过把point-wise convolution换成了 channel shuffle,然后给网络美其名曰 ShuffleNet~ 欲知后事如何,请看 2.3 ShuffleNet
2.3 ShuffleNet
ShuffleNet 是Face++团队提出的,晚于MobileNet两个月在arXiv上公开。论文标题:
《ShuffleNet: An Extremely Efficient Convolutional Neural Network for Mobile Devices 》
命名
一看名字ShuffleNet,就知道shuffle是本文的重点,那么shuffle是什么?为什么要进行shuffle?
shuffle具体来说是channel shuffle,是将各部分的feature map的channel进行有序的打乱,构成新的feature map,以解决group convolution带来的“信息流通不畅”问题。(MobileNet是用point-wise convolution解决的这个问题)
因此可知道shuffle不是什么网络都需要用的,是有一个前提,就是采用了group convolution,才有可能需要shuffle!! 为什么说是有可能呢?因为可以用point-wise convolution 来解决这个问题。
创新点
1. 利用group convolution 和 channel shuffle 这两个操作来设计卷积神经网络模型, 以减少模型使用的参数数量。
group convolutiosn非原创,而channel shuffle是原创。 channel shuffle因group convolution 而起,正如论文中3.1标题: . Channel Shuffle for Group Convolution;
采用group convolution 会导致信息流通不当,因此提出channel shuffle,所以channel shuffle是有前提的,使用的话要注意!
对比一下MobileNet,采用shuffle替换掉1*1卷积(注意!是1*1 Conv,也就是point-wise convolution;特别注意,point-wise convolution和 1*1 GConv是不同的),这样可以减少权值参数,而且是减少大量权值参数 ,因为在MobileNet中,1*1卷积层有较多的卷积核,并且计算量巨大,MobileNet每层的参数量和运算量如下图所示:
————————————–分割线———————————–
ShuffleNet的创新点在于利用了group convolution 和 channel shuffle,那么有必要看看group convolution 和channel shuffle
Group convolution
Group convolution 自Alexnet就有,当时因为硬件限制而采用分组卷积;之后在2016年的ResNeXt中,表明采用group convolution可获得高效的网络;再有Xception和MobileNet均采用depthwise convolution, 这些都是最近出来的一系列轻量化网络模型。depth-wise convolution具体操作可见2.2 MobileNet里边有简介
如下图(a)所示, 为了提升模型效率,采用group convolution,但会有一个副作用,即:“outputs from a certain channel are only derived from a small fraction of input channels.”
于是采用channel shuffle来改善各组间“信息流通不畅”问题,如下图(b)所示。
具体方法为:把各组的channel平均分为g(下图g=3)份,然后依次序的重新构成feature map
Channel shuffle 的操作非常简单,接下来看看ShuffleNet,ShuffleNet借鉴了Resnet的思想,从基本的resnet 的bottleneck unit 逐步演变得到 ShuffleNet 的bottleneck unit,然后堆叠的使用ShuffleNet bottleneck unit获得ShuffleNet;
下图展示了ShuffleNet unit的演化过程
图(a):是一个带有depthwise convolution的bottleneck unit;
图(b):作者在(a)的基础上进行变化,对1*1 conv 换成 1*1 Gconv,并在第一个1*1 Gconv之后增加一个channel shuffle 操作;
图(c): 在旁路增加了AVG pool,目的是为了减小feature map的分辨率;因为分辨率小了,于是乎最后不采用Add,而是concat,从而“弥补”了分辨率减小而带来的信息损失。
文中提到两次,对于小型网络,多多使用通道,会比较好。
“this is critical for small networks, as tiny networks usually have an insufficient number of channels to process the information”
所以,以后若涉及小型网络,可考虑如何提升通道使用效率
至于实验比较,并没有给出模型参数量的大小比较,而是采用了Complexity (MFLOPs)指标,在相同的Complexity (MFLOPs)下,比较ShuffleNet和各个网络,还专门和MobileNet进行对比,由于ShuffleNet相较于MobileNet少了1*1 Conv(注意!少了1*1 Conv,也就是point-wise convolution),所以效率大大提高了嘛,贴个对比图随意感受一下好了
ShuffleNet小结:
1.与MobileNet一样采用了depth-wise convolution,但是针对 depth-wise convolution带来的副作用——“信息流通不畅”,ShuffleNet采用了一个channel shuffle 操作来解决。
在网络拓扑方面,ShuffleNet采用的是resnet的思想,而mobielnet采用的是VGG的思想,2.1 SqueezeNet也是采用VGG的堆叠思想
2.4 Xception
Xception并不是真正意义上的轻量化模型,只是其借鉴depth-wise convolution,而depth-wise convolution又是上述几个轻量化模型的关键点,所以在此一并介绍,其思想非常值得借鉴。
Xception是Google提出的,arXiv 的V1 于2016年10月公开。论文标题:
《Xception: Deep Learning with Depthwise Separable Convolutions 》
命名
Xception是基于Inception-V3的,而X表示Extreme,为什么是Extreme呢?因为Xception做了一个加强的假设,这个假设就是:
we make the following hypothesis: that the mapping of cross-channels correlations and spatial correlations in the feature maps of convolutional neural networks can be entirely decoupled
创新点
1. 借鉴(非采用)depth-wise convolution 改进Inception V3
既然是改进了Inception v3,那就得提一提关于inception的一下假设(思想)了。
“the fundamental hypothesis behind Inception is that cross-channel correlations and spatial correlations are sufficiently decoupled that it is preferable not to map them jointly”
简单理解就是说,卷积的时候要将通道的卷积与空间的卷积进行分离,这样会比较好。(没有理论证明,只有实验证明,就当它是定理,接受就好了,现在大多数神经网络的论文都这样。
———————————-分割线—————————————
既然是在Inception V3上进行改进的,那么Xception是如何一步一步的从Inception V3演变而来。
下图1 是Inception module,图2是作者简化了的 inception module(就是只保留1*1的那条“路”,如果带着avg pool,后面怎么进一步假设嘛~~~) 
假设出一个简化版inception module之后,再进一步假设,把第一部分的3个1*1卷积核统一起来,变成一个1*1的,后面的3个3*3的分别“负责”一部分通道,如图3所示; 最后提出“extreme” version of an Inception ,module Xception登场,, 先用1*1卷积核对各通道之间(cross-channel)进行卷积,如图4所示,
作者说了,这种卷积方式和depth-wise convolution 几乎一样。Depth-wise convolution 较早用于网络设计是来自:Rigid-Motion Scatteringfor Image Classification,但是具体是哪一年提出,不得而知;至少2012年就有相关研究,再比如说AlexNet,由于内存原因,AlexNet分成两组卷积 ;想深入了解Depth-wise convolution的可以查阅本论文2.Prior work,里面有详细介绍。
Xception是借鉴Rigid-Motion Scatteringfor Image Classification 的Depth-wise convolution,是因为Xception与原版的Depth-wise convolution有两个不同之处
第一个:原版Depth-wise convolution,先逐通道卷积,再1*1卷积; 而Xception是反过来,先1*1卷积,再逐通道卷积;
第二个:原版Depth-wise convolution的两个卷积之间是不带激活函数的,而Xception在经过1*1卷积之后会带上一个Relu的非线性激活函数;
Xception 结构如上图所示,共计36层分为Entry flow; Middle flow; Exit flow;
Entry flow 包含 8个conv;Middle flow 包含 3*8 =24个conv;Exit flow包含4个conv,所以Xception共计36层
文中Xception实验部分是非常详细的,实现细节可参见论文。
Xception小结:
Xception是基于Inception-V3,并结合了depth-wise convolution,这样做的好处是提高网络效率,以及在同等参数量的情况下,在大规模数据集上,效果要优于Inception-V3。这也提供了另外一种“轻量化”的思路:在硬件资源给定的情况下,尽可能的增加网络效率和性能,也可以理解为充分利用硬件资源。
三 网络对比
本文简单介绍了四个轻量化网络模型,分别是SqueezeNet、 MobileNet、 ShuffleNet和Xception,前三个是真正意义上的轻量化网络,而Xception是为提升网络效率,在同等参数数量条件下获得更高的性能。
在此列出表格,对比四种网络是如何达到网络轻量化的。
| 网络 | 实现轻量化技巧 |
|---|---|
| SqueezeNet | 1*1卷积核“压缩”feature map数量 |
| MobileNet | Depth-wise convolution |
| ShuffleNet | Depth-wise convolution |
| Xception | 修改的Depth-wise convolution |
这么一看就发现,轻量化主要得益于depth-wise convolution,因此大家可以考虑采用depth-wise convolution 来设计自己的轻量化网络, 但是要注意“信息流通不畅问题”
解决“信息流通不畅”的问题,MobileNet采用了point-wise convolution,ShuffleNet采用的是channel shuffle。MobileNet相较于ShuffleNet使用了更多的卷积,计算量和参数量上是劣势,但是增加了非线性层数,理论上特征更抽象,更高级了;ShuffleNet则省去point-wise convolution,采用channel shuffle,简单明了,省去卷积步骤,减少了参数量。
学习了几个轻量化网络的设计思想,可以看到,并没有突破性的进展,都是借鉴或直接使用前几年的研究成果。希望广大研究人员可以设计出更实在的轻量化网络。
最后讲一下读后感,也可以认为是发(Shui)论文的idea:
1.继续采用depth-wise convolution,主要设计一个方法解决“信息流通不畅”问题, 然后冠以美名XX-Net。(看看ShuffleNet就是)
2.针对depth-wise convolution作文章,卷积方式不是千奇百怪么?各种卷积方式可参考Github(https://github.com/vdumoulin/conv_arithmetic),挑一个或者几个,结合起来,只要参数量少,实验效果好,就可以发(Shui)论文。
3.接着第2,如果设计出来一个新的卷积方式,如果也存在一些“副作用”,再想一个方法解决这个副作用,再美其名曰XX-Net。就是自己“挖”个坑,自己再填上去。
以上纯属读后感,写得比较“随意”,如果有什么地方描述有误,请大家指出来,欢迎大家前来讨论~
共同學習,寫下你的評論
評論加載中...
作者其他優質文章


















