接上篇算法的时间复杂度与空间复杂度分析,传送门:算法的时间复杂度与空间复杂度分析
下面以二分查找法和斐波那契数列分析其时间和空间复杂度:
1.二分查找法的时间复杂度
#include <stdio.h> int searchItem(int arr[],int len, int value){
int low = 0,high = len-1,mid;
while (low <= high) {
mid = (low + high)/2;
if (value > arr[mid]) {
low = mid+1;
}else if (value < arr[mid]){
high = mid - 1;
}else{
return mid;
}
}
return -1;
}
int main(int argc, const char * argv[]) {
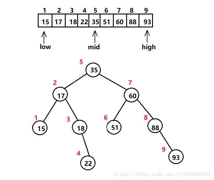
int a[10] = {15,17,18,22,35,51,60,88,93};
int l = searchItem(a,22,9);
printf("loc = %d\n",l);
return 0;
} 12345678910111213141516171819202122注意:其一定是已排序数组
数组中间位置的元素值Kmid
如果Kmid=k,那么检索工作完成
当Kmid>K,在前半部分检索
相反,在后半部分检索

首先了解二分查找,首先在长度为n的表范围中查找,第一次循环在n/2中查找,第二次在n/2/2中查找,依次循环。假设在第X次找到,那么 就是找2的X次方次,有2的X次方=n解出x为log2的n ,故时间复杂度为log2N。由于辅助空间是常数级别的所以空间复杂度是O(1);
最大检索长度:
[log2(n+1)]
平均检索代价:
O(log n)
在算法复杂性分析中
log n是以2为底的对数
以其他数值为底,算法量级不变
2.斐波那契数列的时间和空间复杂度
int fibona_recur(int n){
if(n<2){
return n;
}
else{
return fibona_recur(n-1)+fibona_recur(n-2);
}
}
//时间复杂度:O(2^n) 空间复杂度为:O(1);
int main(){
int i=0;
for(i;i<12;i++){
int m=fibona_tail_recur(i,0,1);
printf("%d ",m);
}
return 0;
} 1234567891011121314151617以5为例:
将递归执行图画出来可以明显的看出来,这是一颗二叉树,无论他是否是满二叉树,因为我们前面说过我们只计算最坏的情况,所以要计算这课二叉树有多少个元素,数的深度为n,那么元素为2^N-1;去掉常数项就是2的n次方
递归的时间复杂度是: 递归次数*每次递归中执行基本操作的次数
所以时间复杂度是: O(2^N)
递归的空间复杂度是: 递归的深度*每次递归所需的辅助空间的个数
所以空间复杂度是:O(N)
點擊查看更多內容
為 TA 點贊
評論
評論
共同學習,寫下你的評論
評論加載中...
作者其他優質文章
正在加載中
感謝您的支持,我會繼續努力的~
掃碼打賞,你說多少就多少
贊賞金額會直接到老師賬戶
支付方式
打開微信掃一掃,即可進行掃碼打賞哦
