滴血验癌又传来突破:“可检测13种早期癌症,准确率99%,明年启动实证试验。”
乍一听绝对大进展。
于是该消息一出,立马引发关注、登上微博热搜——但热议并非全是期待,伴随展开的更多是质疑。
因为这样的黑科技进展,之前已有过臭名昭著的女版乔布斯“硅谷骗局”。
不同的是这次进展来自日本知名技术公司东芝,并且经由日本主流媒体报道,还公布了实验数据及结果。
所以这一次一滴血检测早期癌症,究竟是怎样一回事,究竟靠谱与否?
我们层层解剖看一看。
效果宣称太惊人
有多厉害?
多:能检测出胃癌、大肠癌等13种癌症。
快:检测后2个小时内就能出结果;
好:准确度可高达99%;
省:价格控制在约1300元
目前的癌症诊断,主要采用的方法还是活体组织检查(听起来就好疼),要在病人身上取下一部分病变的组织或细胞。
想要有更准确的效果,最好的方法是进行专项检测,比如食管、胃、肠癌筛查,做胃肠镜,肺癌是做低剂量CT检查,肝癌可做彩超和甲胎蛋白检测等等,价格需要几百元到上千元不等。
就算如此,仅从仪器检测画面中也很难发现早期癌症异常。
但这项技术却声称:“我可以”。
接下来,东京医科大学和国立癌症研究中心也将参与到此次研发中,希望在几年之内就能投入正式使用。
什么原理?
根据日本时报(The Japan Times)报道,东芝公司这样描述他们的方法:
通过检查分泌在血液中的MicroRNA(微小核糖核酸,miRNA)分子种类和浓度,就能在极早阶段发现13中类型癌症。
该公司前沿研究实验室的首席科学家桥本晃司(Koji Hashimoto)说:
与其他公司的方法相比,我们在癌症检测的准确性,所需的时间和成本上具有优势。
miRNA是一种微小的非编码RNA分子,是在基因表达过程种的关键调节器。而人类的多种癌症与microRNAs的表达失调直接相关。
它可以从细胞中分泌,并存在于多种体液中,包括血液,唾液和尿液。在这些体液中,它们的含量是稳定的。
这使得microRNA成为理想的用来检测癌症的生物性指标。这也是医学家们研究癌症早期诊断的热点领域。
血液检测往往需要足够多的样本量来获取生物性指标,而且,通常由于检测过程对样本具有破坏性,一个样本只能一次性地被用于某种检测。
于是,东芝的研究人员开发了一种多重系统,采用了一种电化学DNA芯片,能够同时量化不同的靶序列(target sequence)。
成熟的miRNA就是用这种系统来被检测的。
△基于RT、EL和LAMP反应的miRNA扩增原理。
从血清中提取出来的miRNA,经过反转录(reverse-transcription)和延伸反应(elongation reaction),酶促地(enzymatically)延长到约100个碱基对。
LAMP引物(primer)是用来扩增miRNA,它被被吸附、固定在液流通道表面的五个不同位置。
将含有加长的miRNA、Tin DNA聚合酶以及RuHex的LAMP溶液,作为氧化还原化合物注入DNA芯片。
△引物在DNA芯片液流通道中的行为。
(A)硅胶模块,在DNA芯片液流通道的5个不同位置有引物。箭头表示在硅胶模块表面干燥的引物的位置。虚线表示液流通道的内壁。通道宽度为1 mm。
(B)注入LAMP溶液后,引物荧光图像。
(C)在65℃条件下,LAMP反应30 min后的引物荧光图像。
(D) LAMP荧光图像与106份样本在65℃条件下反应30min。
这就是东芝公司研究人员检测分泌在血液中miRNA的方法,也是“滴血验癌”的根基。
实际上,这种方法逻辑上听起来与“女版乔布斯”的故事并不不同。
拿出了实验结果
但与伊丽莎白的空口无凭的结果不同,东芝公司这次确实给出了一些实验结果。
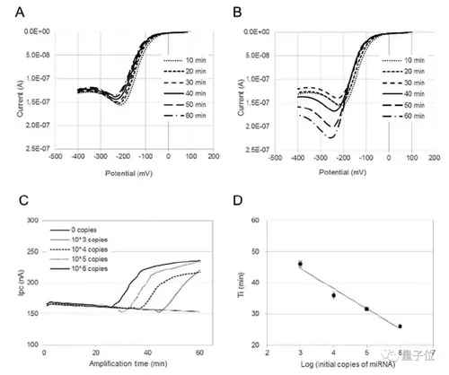
通过线性扫描伏安法连续测定了RuHex在LAMP溶液中的电化学反应是:
阳性对照的LAMP反应表明,RuHex的阴极峰值电流增大。
此外,当阴极电流开始增加时,miRNA的初始样本(copy)数与时间相关。
在2小时内,每50μL里的103−106份样本(copy)中,能够检测出5个miRNA。
△RuHex在LAMP溶液中的电化学检测。
(A)没有miRNA的LSV。
(B)有106<.sup>个miR-1307-3p的LSV。
(C)RuHex对miR-1307-3p LAMP反应的实时Ipc曲线。
(D)Ti与初始miR-1307-3p对数输入的校准图(n = 2)。
△通过DNA芯片和qRT-PCR测定的miRNA的定量结果的相关图(n = 5)。横轴和纵轴以log为单位(miRNA的初始copy)。
研究人员表示:
这些结果表明,新开发的DNA芯片可用于从血清中提取的miRNA的多路实时LAMP定量,实验时间可在2小时内完成。
靠不靠谱?
通常而言,关乎人类生命的生物科技新进展,往往都是期待一片。
但这一次,舆论反馈并不“友好”。
因为日本东芝关于“滴血验癌”的种种表述,太让人容易联想到殷鉴不远的“硅谷骗局”了。
更早之前,“女版乔布斯”伊丽莎白 · 福尔摩斯和她的Theranos,也曾经宣称:只需一滴血就能完成240项身体检测的医学报告。
当时就是凭借该项技术突破和强大宣传营销,伊丽莎白 · 福尔摩斯的医疗企业估值90亿美元,仅仅30岁便已经是最年轻的亿万富翁,一度被称为“女版乔布斯”,吸引了包括基辛格、默多克等美国名流站台支持。

更重要的是,不要999,只要2.99美元。
结果是,他们所谓的“新技术”只是购买其它公司的机器进行简单改装。
于是后来被《华尔街日报》深度扒皮,揭穿骗局,一匹估值百亿美元的超级独角兽迅速烟飞灰灭……
也让整个行业陷入“狼来了”困境。
所以这一次,对于这次东芝公司的研究,自然与“女版乔布斯”事件关联,网友们的评论也是褒贬不一:
有明确质疑的,网友dannykwells:
没有发布有意义的论文+“口号”喊得很大+一滴血=第二代Teranos公司。
但也有人选择先支持看看,网友pkaye:
提到这个技术的其它研究中,灵敏度(sensitivity)和特异性(selectivity)分别只有90%和95%,对于癌症这种严重疾病来说是远远不够的,希望他们的技术能够有所改进。
“灵敏度“和“特异性”是评价癌症检测的两个指标,“灵敏度”指的是否能把患有癌症的样本检测出来,“特异性”指的是能够准确地排除非癌症的样本。
所以归结而言,虽然日本的产品、技术因“保质保量”而闻名世界,但此次“一滴血测癌”技术确实有点过于神奇。
真正效果如何,可能需要东芝放出更多数据和实验结果了。
值得一提的是,通过血液检测进行癌症早期诊断并不算一个新鲜的话题,也一直是科学家在努力的方向。
去年美国临床肿瘤协会(ASCO)年会上,一家叫做GRAIL的硅谷健康医疗公司介绍,该公司可以通过一次性抽血实现检测10种类型的癌症。
但是这是只是初步测试,走出实验室投入使用之前,还需要进行大量研究。
负责研究的科学家Stover表示“显然,我们都喜欢一项检测,够灵敏,够特异,而且只需要一次抽血,但是这个障碍非常大”。
但还有网友还专门提到,之所以可以对日本技术保持期待,是因为东芝技术和其它公司的技术有所不同:
许多公司在进行通过无细胞DNA的方式进行癌症早期筛查方面的工作。GRAIL和Freenome是有名的例子。似乎很少人像东芝公司这样,关注基于miRNA的方法。
所以东芝新进展,是否会是又一个“坏血”骗局,或许明年试验开始后就知道了。
你怎么看?
— 完 —
共同學習,寫下你的評論
評論加載中...
作者其他優質文章












