由于待会要用pygame演示,他的坐标系是y轴向下,所以这里我们也用y向下的坐标系。
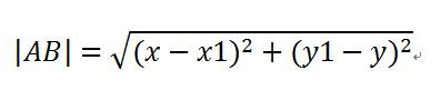
计算sina和cosa,正弦对比斜,余弦邻比斜,斜边可以利用两点距离公式计算出,即:
于是
AC的长度就是导弹的速度乘以时间即 |AC|=vt,然后即可计算出AD和CD的长度,于是这一个时间片过去后,导弹应该出现在新的位置C点,他的坐标就是老的点A的x增加AD和y减去CD。
于是,新的C点坐标就是:
只要一直反复循环执行这个操作即可,好吧,为了更形象,把第一个时间片和第二个时间片放在一起看看:
很简单的代码如下:
如果仅把导弹考虑为一个质点的话,那么以上算法就已经足矣,我没有做导弹的旋转,因为一个质点也不分头尾不需要旋转,当然这前提得是你加载的导弹图片很小的时候不旋转看起来也没什么问题。但是在pygame里面做旋转并不是一件容易的事情(也可能是我无知),好吧我们先把图片替换成一张矩形的,再加入旋转函数看看效果如何
因为图片的坐标点是它的左上角的点,所以如果我们想让图片的坐标固定在箭头尖点,那么把图片实际打印位置x减少图片长度,y减少一半宽度就行。
但是实际运行效果并不好:
大致方向相同,但是图片箭头的尖点并没有一直跟随鼠标,这是为什么呢。经过我的研究(就因为这个问题没解决一直没发布),
我发现原来是这个图旋转的机制问题,我们看看旋转后的图片变成什么样了:
旋转后的图片变成了蓝色的那个范围,根据旋转角度的不同,所变成的图片大小也不一样,我们看旋转90的情况
这样,两个导弹头的点就一致了。接下来我们分析求旋转后的导弹头的算法。根据旋转角度的不同,旋转角在不同象限参数不一样,所以我们分为这四种情况
1,2象限
3,4象限,它的旋转只有正负0—180,所以3,4象限就是负角
显示图片的时候我们将他移动
screen.blit(missiled,(x1-width+(x1-C[0]),y1-height/2+(y1-C[1])))
这里的(x1-width,y1-height/2)其实才是上图中的(x1,y1)
所以最后我们加入相关算法代码,效果就比较完美了
大功告成,最后附上全部的算法代码
共同學習,寫下你的評論
評論加載中...
作者其他優質文章






















