首先我们分别画图来看看,BIO、NIO、AIO,分别是什么?
BIO:传统的网络通讯模型,就是BIO,同步阻塞IO
它其实就是服务端创建一个ServerSocket, 然后就是客户端用一个Socket去连接服务端的那个ServerSocket, ServerSocket接收到了一个的连接请求就创建一个Socket和一个线程去跟那个Socket进行通讯。
接着客户端和服务端就进行阻塞式的通信,客户端发送一个请求,服务端Socket进行处理后返回响应。
在响应返回前,客户端那边就阻塞等待,上门事情也做不了。
这种方式的缺点:每次一个客户端接入,都需要在服务端创建一个线程来服务这个客户端
这样大量客户端来的时候,就会造成服务端的线程数量可能达到了几千甚至几万,这样就可能会造成服务端过载过高,最后崩溃死掉。
BIO模型图:
Acceptor:
传统的IO模型的网络服务的设计模式中有俩种比较经典的设计模式:一个是多线程, 一种是依靠线程池来进行处理。
如果是基于多线程的模式来的话,就是这样的模式,这种也是Acceptor线程模型。
NIO:
NIO是一种同步非阻塞IO, 基于Reactor模型来实现的。
其实相当于就是一个线程处理大量的客户端的请求,通过一个线程轮询大量的channel,每次就获取一批有事件的channel,然后对每个请求启动一个线程处理即可。
这里的核心就是非阻塞,就那个selector一个线程就可以不停轮询channel,所有客户端请求都不会阻塞,直接就会进来,大不了就是等待一下排着队而已。
这里面优化BIO的核心就是,一个客户端并不是时时刻刻都有数据进行交互,没有必要死耗着一个线程不放,所以客户端选择了让线程歇一歇,只有客户端有相应的操作的时候才发起通知,创建一个线程来处理请求。
NIO:模型图
Reactor模型:
AIO
AIO:异步非阻塞IO,基于Proactor模型实现。
每个连接发送过来的请求,都会绑定一个Buffer,然后通知操作系统去完成异步的读,这个时间你就可以去做其他的事情
等到操作系统完成读之后,就会调用你的接口,给你操作系统异步读完的数据。这个时候你就可以拿到数据进行处理,将数据往回写
在往回写的过程,同样是给操作系统一个Buffer,让操作系统去完成写,写完了来通知你。
这俩个过程都有buffer存在,数据都是通过buffer来完成读写。
这里面的主要的区别在于将数据写入的缓冲区后,就不去管它,剩下的去交给操作系统去完成。
操作系统写回数据也是一样,写到Buffer里面,写完后通知客户端来进行读取数据。
AIO:模型图
聊完了BIO,NIO,AIO的区别之后,现在我们再结合这三个模型来说下同步和阻塞的一些问题。
同步阻塞
为什么说BIO是同步阻塞的呢?
其实这里说的不是针对网络通讯模型而言,而是针对磁盘文件读写IO操作来说的。
因为用BIO的流读写文件,例如FileInputStrem,是说你发起个IO请求直接hang死,卡在那里,必须等着搞完了这次IO才能返回。
同步非阻塞:
为什么说NIO为啥是同步非阻塞?
因为无论多少客户端都可以接入服务端,客户端接入并不会耗费一个线程,只会创建一个连接然后注册到selector上去,这样你就可以去干其他你想干的其他事情了
一个selector线程不断的轮询所有的socket连接,发现有事件了就通知你,然后你就启动一个线程处理一个请求即可,这个过程的话就是非阻塞的。
但是这个处理的过程中,你还是要先读取数据,处理,再返回的,这是个同步的过程。
异步非阻塞
为什么说AIO是异步非阻塞?
通过AIO发起个文件IO操作之后,你立马就返回可以干别的事儿了,接下来你也不用管了,操作系统自己干完了IO之后,告诉你说ok了
当你基于AIO的api去读写文件时, 当你发起一个请求之后,剩下的事情就是交给了操作系统
当读写完成后, 操作系统会来回调你的接口, 告诉你操作完成
在这期间不需要等待, 也不需要去轮询判断操作系统完成的状态,你可以去干其他的事情。
同步就是自己还得主动去轮询操作系统,异步就是操作系统反过来通知你。所以来说, AIO就是异步非阻塞的。
NIO核心组件详细讲解
学习NIO先来搞清楚一些相关的概念,NIO通讯有哪些相关组件,对应的作用都是什么,之间有哪些联系?
多路复用机制实现Selector
首先我们来了解下传统的Socket网络通讯模型。
传统Socket通讯原理图
为什么传统的socket不支持海量连接?
每次一个客户端接入,都是要在服务端创建一个线程来服务这个客户端的
这会导致大量的客户端的时候,服务端的线程数量可能达到几千甚至几万,几十万,这会导致服务器端程序负载过高,不堪重负,最终系统崩溃死掉。
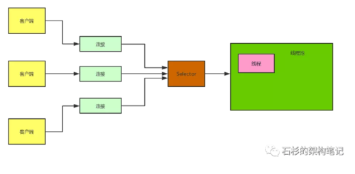
接着来看下NIO是如何基于Selector实现多路复用机制支持的海量连接。
NIO原理图
多路复用机制是如何支持海量连接?
NIO的线程模型对Socket发起的连接不需要每个都创建一个线程,完全可以使用一个Selector来多路复用监听N多个Channel是否有请求,该请求是对应的连接请求,还是发送数据的请求
这里面是基于操作系统底层的Select通知机制的,一个Selector不断的轮询多个Channel,这样避免了创建多个线程
只有当莫个Channel有对应的请求的时候才会创建线程,可能说1000个请求, 只有100个请求是有数据交互的
这个时候可能server端就提供10个线程就能够处理这些请求。这样的话就可以避免了创建大量的线程。
NIO如何通过Buffer来缓冲数据的
NIO中的Buffer是个什么东西 ?
学习NIO,首当其冲就是要了解所谓的Buffer缓冲区,这个东西是NIO里比较核心的一个部分
一般来说,如果你要通过NIO写数据到文件或者网络,或者是从文件和网络读取数据出来此时就需要通过Buffer缓冲区来进行。Buffer的使用一般有如下几个步骤:
写入数据到Buffer,调用flip()方法,从Buffer中读取数据,调用clear()方法或者compact()方法。
Buffer中对应的Position, Mark, Capacity,Limit都啥?
capacity:缓冲区容量的大小,就是里面包含的数据大小。
limit:对buffer缓冲区使用的一个限制,从这个index开始就不能读取数据了。
position:代表着数组中可以开始读写的index, 不能大于limit。
mark:是类似路标的东西,在某个position的时候,设置一下mark,此时就可以设置一个标记
后续调用reset()方法可以把position复位到当时设置的那个mark上。去把position或limit调整为小于mark的值时,就丢弃这个mark
如果使用的是Direct模式创建的Buffer的话,就会减少中间缓冲直接使用DirectorBuffer来进行数据的存储。
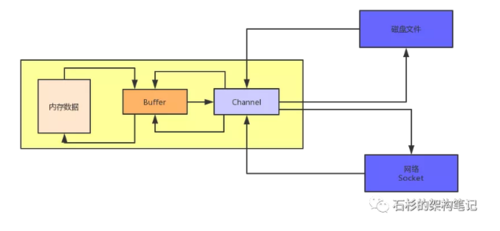
如何通过Channel和FileChannel读取Buffer数据写入磁盘的
NIO中,Channel是什么?
Channel是NIO中的数据通道,类似流,但是又有些不同
Channel既可从中读取数据,又可以从写数据到通道中,但是流的读写通常是单向的。
Channel可以异步的读写。Channel中的数据总是要先读到一个Buffer中,或者从缓冲区中将数据写到通道中。
FileChannel的作用是什么?
Buffer有不同的类型,同样Channel也有好几个类型。
FileChannel
DatagramChannel
SocketChannel
ServerSocketChannel
这些通道涵盖了UDP 和 TCP 网络IO,以及文件IO。而FileChannel就是文件IO对应的管道, 在读取文件的时候会用到这个管道。
下面给一个简单的NIO实现读取文件的Demo代码
public class FileChannelDemo1 {public static void main(String[] args) throws Exception {// 构造一个传统的文件输出流FileOutputStream out = new FileOutputStream("F:\\development\\tmp\\hello.txt");// 通过文件输出流获取到对应的FileChannel,以NIO的方式来写文件FileChannel channel = out.getChannel();// 将数据写入到Buffer中ByteBuffer buffer = ByteBuffer.wrap("hello world".getBytes());// 通过FileChannel管道将Buffer中的数据写到输出流中去,持久化到磁盘中去channel.write(buffer);channel.close();out.close();}}
NIOServer端和Client端代码案例
最后,给大家一个NIO客户端和服务端示例代码,简单感受下NIO通讯的方式。
NIO通讯Client端
import java.io.IOException;import java.net.InetSocketAddress;import java.nio.ByteBuffer;import java.nio.channels.SelectionKey;import java.nio.channels.Selector;import java.nio.channels.SocketChannel;import java.util.Iterator;public class NIOClient {public static void main(String[] args) {for(int i = 0; i < 10; i++){new Worker().start();}}static class Worker extends Thread {@Overridepublic void run() {SocketChannel channel = null;Selector selector = null;try {// SocketChannel,一看底层就是封装了一个Socketchannel = SocketChannel.open(); // SocketChannel是连接到底层的Socket网络// 数据通道就是负责基于网络读写数据的channel.configureBlocking(false);channel.connect(new InetSocketAddress("localhost", 9000));// 后台一定是tcp三次握手建立网络连接selector = Selector.open();// 监听Connect这个行为channel.register(selector, SelectionKey.OP_CONNECT);while(true){// selector多路复用机制的实现 循环去遍历各个注册的Channelselector.select();Iterator<SelectionKey> keysIterator = selector.selectedKeys().iterator();while(keysIterator.hasNext()){SelectionKey key = (SelectionKey) keysIterator.next();keysIterator.remove();// 如果发现返回的时候一个可连接的消息 走到下面去接受数据if(key.isConnectable()){ channel = (SocketChannel) key.channel();if(channel.isConnectionPending()){channel.finishConnect();// 接下来对这个SocketChannel感兴趣的就是人家server给你发送过来的数据了// READ事件,就是可以读数据的事件// 一旦建立连接成功了以后,此时就可以给server发送一个请求了ByteBuffer buffer = ByteBuffer.allocate(1024);buffer.put("你好".getBytes());buffer.flip();channel.write(buffer);}channel.register(selector, SelectionKey.OP_READ);}// 这里的话就时候名服务器端返回了一条数据可以读了else if(key.isReadable()){ channel = (SocketChannel) key.channel();// 构建一个缓冲区ByteBuffer buffer = ByteBuffer.allocate(1024);// 把数据写入buffer,position推进到读取的字节数数字int len = channel.read(buffer);if(len > 0) {System.out.println("[" + Thread.currentThread().getName()+ "]收到响应:" + new String(buffer.array(), 0, len));Thread.sleep(5000);channel.register(selector, SelectionKey.OP_WRITE);}} else if(key.isWritable()) {ByteBuffer buffer = ByteBuffer.allocate(1024);buffer.put("你好".getBytes());buffer.flip();channel = (SocketChannel) key.channel();channel.write(buffer);channel.register(selector, SelectionKey.OP_READ);}}}} catch (Exception e) {e.printStackTrace();} finally{if(channel != null){try {channel.close();} catch (IOException e) {e.printStackTrace();}}if(selector != null){try {selector.close();} catch (IOException e) {e.printStackTrace();}}}}}}
NIO通讯Server端
import java.io.IOException;import java.net.InetSocketAddress;import java.nio.ByteBuffer;import java.nio.channels.ClosedChannelException;import java.nio.channels.SelectionKey;import java.nio.channels.Selector;import java.nio.channels.ServerSocketChannel;import java.nio.channels.SocketChannel;import java.util.Iterator;import java.util.concurrent.ExecutorService;import java.util.concurrent.Executors;import java.util.concurrent.LinkedBlockingQueue;public class NIOServer {private static Selector selector;private static LinkedBlockingQueue<SelectionKey> requestQueue;private static ExecutorService threadPool;public static void main(String[] args) {init();listen();}private static void init(){ServerSocketChannel serverSocketChannel = null;try {selector = Selector.open();serverSocketChannel = ServerSocketChannel.open();// 将Channel设置为非阻塞的 NIO就是支持非阻塞的serverSocketChannel.configureBlocking(false); serverSocketChannel.socket().bind(new InetSocketAddress(9000), 100);// ServerSocket,就是负责去跟各个客户端连接连接请求的serverSocketChannel.register(selector, SelectionKey.OP_ACCEPT);// 就是仅仅关注这个ServerSocketChannel接收到的TCP连接的请求} catch (IOException e) {e.printStackTrace();}requestQueue = new LinkedBlockingQueue<SelectionKey>(500);threadPool = Executors.newFixedThreadPool(10);for(int i = 0; i < 10; i++) {threadPool.submit(new Worker());}}private static void listen() {while(true){try{selector.select();Iterator<SelectionKey> keysIterator = selector.selectedKeys().iterator();while(keysIterator.hasNext()){SelectionKey key = (SelectionKey) keysIterator.next();// 可以认为一个SelectionKey是代表了一个请求keysIterator.remove();handleRequest(key);}}catch(Throwable t){t.printStackTrace();}}}private static void handleRequest(SelectionKey key)throws IOException, ClosedChannelException {// 后台的线程池中的线程处理下面的代码逻辑SocketChannel channel = null;try{// 如果说这个Key是一个acceptable,也就是一个连接请求if(key.isAcceptable()){ServerSocketChannel serverSocketChannel = (ServerSocketChannel) key.channel();// 调用accept这个方法 就可以进行TCP三次握手了channel = serverSocketChannel.accept();// 握手成功的话就可以获取到一个TCP连接好的SocketChannelchannel.configureBlocking(false);channel.register(selector, SelectionKey.OP_READ);// 仅仅关注这个READ请求,就是人家发送数据过来的请求}// 如果说这个key是readable,是个发送了数据过来的话,此时需要读取客户端发送过来的数据else if(key.isReadable()){channel = (SocketChannel) key.channel();ByteBuffer buffer = ByteBuffer.allocate(1024);int count = channel.read(buffer);// 通过底层的socket读取数据,写buffer中,position可能就会变成21之类的// 你读取到了多少个字节,此时buffer的position就会变成多少if(count > 0){// 准备读取刚写入的数据,就是将limit设置为当前position,将position设置为0,丢弃mark。一般就是先写入数据,接着准备从0开始读这段数据,就可以用flip// position = 0,limit = 21,仅仅读取buffer中,0~21这段刚刚写入进去的数据buffer.flip();System.out.println("服务端接收请求:" + new String(buffer.array(), 0, count));channel.register(selector, SelectionKey.OP_WRITE);}} else if(key.isWritable()) {ByteBuffer buffer = ByteBuffer.allocate(1024);buffer.put("收到".getBytes());buffer.flip();channel = (SocketChannel) key.channel();channel.write(buffer);channel.register(selector, SelectionKey.OP_READ);}}catch(Throwable t){t.printStackTrace();if(channel != null){channel.close();}}}// 创建一个线程任务来执行static class Worker implements Runnable {@Overridepublic void run() {while(true) {try {SelectionKey key = requestQueue.take();handleRequest(key);} catch (Exception e) {e.printStackTrace();}}}private void handleRequest(SelectionKey key)throws IOException, ClosedChannelException {// 假设想象一下,后台有个线程池获取到了请求// 下面的代码,都是在后台线程池的工作线程里在处理和执行SocketChannel channel = null;try{// 如果说这个key是个acceptable,是个连接请求的话if(key.isAcceptable()){ System.out.println("[" + Thread.currentThread().getName() + "]接收到连接请求");ServerSocketChannel serverSocketChannel = (ServerSocketChannel) key.channel();// 调用accept方法 和客户端进行三次握手channel = serverSocketChannel.accept(); System.out.println("[" + Thread.currentThread().getName() + "]建立连接时获取到的channel=" + channel);// 如果三次握手成功了之后,就可以获取到一个建立好TCP连接的SocketChannel// 这个SocketChannel大概可以理解为,底层有一个Socket,是跟客户端进行连接的// 你的SocketChannel就是联通到那个Socket上去,负责进行网络数据的读写的// 设置为非阻塞的channel.configureBlocking(false);// 关注的是Reade请求channel.register(selector, SelectionKey.OP_READ); }// 如果说这个key是readable,是个发送了数据过来的话,此时需要读取客户端发送过来的数据else if(key.isReadable()){channel = (SocketChannel) key.channel();ByteBuffer buffer = ByteBuffer.allocate(1024);int count = channel.read(buffer);// 通过底层的socket读取数据,写入buffer中,position可能就会变成21之类的// 你读取到了多少个字节,此时buffer的position就会变成多少System.out.println("[" + Thread.currentThread().getName() + "]接收到请求");if(count > 0){buffer.flip(); // position = 0,limit = 21,仅仅读取buffer中,0~21这段刚刚写入进去的数据System.out.println("服务端接收请求:" + new String(buffer.array(), 0, count));channel.register(selector, SelectionKey.OP_WRITE);}} else if(key.isWritable()) {ByteBuffer buffer = ByteBuffer.allocate(1024);buffer.put("收到".getBytes());buffer.flip();channel = (SocketChannel) key.channel();channel.write(buffer);channel.register(selector, SelectionKey.OP_READ);}}catch(Throwable t){t.printStackTrace();if(channel != null){channel.close();}}}}}
总结:
通过本篇文章,主要是分析了常见的NIO的一些问题:
BIO, NIO, AIO各自的特点
什么同步阻塞,同步非阻塞,异步非阻塞
为什么NIO能够应对支持海量的请求
NIO相关组件的原理
NIO通讯的简单案例
本文仅仅是介绍了一下网络通讯的一些原理,应对面试来讲解
NIO通讯其实有很多的的东西,在中间件的研发过程中使用的频率还是非常高的,后续有机会再和大家分享交流。
END
石杉的架构笔记(id:shishan100)
作者:中华石杉,多年BAT架构经验倾囊相授
共同學習,寫下你的評論
評論加載中...
作者其他優質文章









