上期为大家介绍了RSA算法原理——(1)目前常见加密算法简介,相信阅读过的同学们对目前的加密算法也算是有了一个大概的了解。如果你对这些解密算法概念及特点还不是很清晰的话,昌昌非常推荐大家可以看看HTTPS原理详解,因为HTTPS加密通信使用了目前主要的三种加密算法,大家可以从中体会到各种加密算法的优缺点。
一、RSA算法原理——(1)目前常见加密算法简介
二、RSA算法介绍及数论知识介绍
三、RSA加解密过程及公式论证
二、RSA算法介绍及数论知识介绍
如果上期(RSA算法原理——(1)目前常见加密算法简介)算是天安门的话,那今天的内容就算是正式通过天安门进入故宫宫殿了。
1.RSA算法介绍
对于大多数IT从业者来说RSA算法并不陌生,因为我们多多少少都使用过。而对于非IT从业者来说或许你们知道有加密算法,但是具体的哪种算法可能并不了解,其实对所有人来说都接触过RSA算法,只是你并不知道而已for example:你百度一下或者扫一扫、信用卡付款等这些过程都使用到了RSA加密算法。就目前安全通信来讲,RSA无处不在。
那RSA加密算法究竟是怎么来的呢?
RSA加密算法是一种非对称加密算法。在公开密钥加密和电子商业中RSA被广泛使用。RSA是1977年由罗纳德·李维斯特(Ron Rivest)、阿迪·萨莫尔(Adi Shamir)和伦纳德·阿德曼(Leonard Adleman)一起提出的。当时他们三人都在麻省理工学院工作。RSA就是他们三人姓氏开头字母拼在一起组成的。——维基百科
2.数论知识介绍
其实RSA算法加解密其实就是两个公式,只是为了理解这两个公式我们需要学习数论中的四个概念:互质、欧拉函数、欧拉定理、模反元素,这四个概念都是非常好理解的,不需要有数论的基础,只需要有初高中的数学就够用就能理解,下面我们就来看看这四个概念是什么?
(1)互质关系
如果两个正整数,除了1以外没有其他公因子,我们就称这两个数是互质关系(coprime)。比如,6和21他们的公因子有:3和1,所以6和21就不是互质;而10和21只有一个公因子1,所以它们是互质关系。这说明,不是质数也可以构成互质关系。
有以下几点可构成互质关系:
任意两个质数构成互质关系,比如13和61
1和任意一个自然数是都是互质关系,比如1和99
p是大于1的整数,则p和p-1构成互质关系,比如57和56
p是大于1的奇数,则p和p-2构成互质关系,比如17和15
如果两个数之中,较大的那个数是质数,则两者构成互质关系,比如97和10
一个数是质数,另一个数只要不是前者的倍数,两者就构成互质关系,比如3和10
(2)欧拉函数
思考:请问10以内的正整数有哪几个与10互质呢?
答案是:{1,3,7,9},10以内可能用手指就可以算过来,那100呢?1000呢?那是不是有什么公式可以计算?答案是有,这就是我们这里要讲的的欧拉函数:
任意给定正整数n,请问在小于等于n的正整数之中,有多少个与n构成互质关系?
计算这个值的方法就叫做欧拉函数,以φ(n)表示。在1到10之中,与10形成互质关系的是1、3、7、9,所以 φ(10) = 4。
φ(n) 的计算方法并不复杂,但是为了得到最后那个公式,需要一步步讨论。对于下面的公式大家稍微记住就行,没必要理解通透,有时候适当的囫囵吞枣能让你学习的更快!
第一种情况
如果n=1,则 φ(1) = 1 。因为1与任何数(包括自身)都构成互质关系
第二种情况
如果n是质数,则 φ(n)=n-1 。因为质数与小于它的每一个数,都构成互质关系。比如5与1、2、3、4都构成互质关系。
第三种情况
如果n是质数的某一个次方,即 n = p^k (p为质数,k为大于等于1的整数),则
比如 φ(8) = φ(2^3) =2^3 – 2^2 = 8 -4 = 4。
这是因为只有当一个数不包含质数p,才可能与n互质。而包含质数p的数一共有p^(k-1)个,即1×p、2×p、3×p、…、p^(k-1)×p,把它们去除,剩下的就是与n互质的数。
上面的式子还可以写成下面的形式:
可以看出,上面的第二种情况是 k=1 时的特例。
第四种情况
如果n可以分解成两个互质的整数之积,
n = p1 × p2
则
φ(n) = φ(p1p2) = φ(p1)φ(p2)
即积的欧拉函数等于各个因子的欧拉函数之积。比如,φ(56)=φ(8×7)=φ(8)×φ(7)=4×6=24
第五种情况
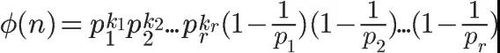
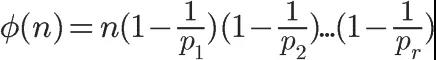
因为任意一个大于1的正整数,都可以写成一系列质数的积。
根据第4条的结论,得到
再根据第3条的结论,得到
也就等于
这就是欧拉函数的通用计算公式。比如,1323的欧拉函数,计算过程如下:
(3)欧拉定理
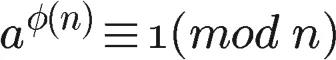
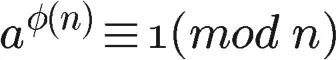
欧拉函数的用处,在于欧拉定理。”欧拉定理”指的是:
如果两个正整数a和n互质,则n的欧拉函数 φ(n) 可以让下面的等式成立:
也就是说,a的φ(n)次方被n除的余数为1。或者说,a的φ(n)次方减去1,可以被n整除。比如,3和7互质,而7的欧拉函数φ(7)等于6,所以3的6次方(729)减去1,可以被7整除(728/7=104)。
科普:mod为取模,取模运算与取余运算还是有区别。取余的商是靠近0的,而取模的商是靠近负无穷的,看下面的例子:
7 mod 4 = 3(商 = 1 或 2,1<2,取商=1,与取余相同)
-7 mod 4 = 1(商 = -1 或 -2,-2<-1,取商=-2)
7 mod -4 = -1(商 = -1或-2,-2<-1,取商=-2)
-7 mod -4 = -3(商 = 1或2,1<2,取商=1,与取余相同)
欧拉定理的证明比较复杂,这里就省略了。我们只要记住它的结论就行了。
欧拉定理是RSA算法的核心。理解了这个定理,就可以理解RSA。多看几遍欧拉定理的定义,知道公式表达的意思就够了。
(4)模反元素
还剩最后一个概念:
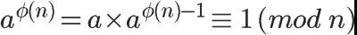
如果两个正整数a和n互质,那么一定可以找到整数b,使得 ab-1 被n整除,或者说ab被n除的余数是1,则
这时,b就叫做a的“模反元素”。
比如,3和11互质,那么3的模反元素就是4,因为 (3 × 4)-1 可以被11整除。显然,模反元素不止一个, 4加减11的整数倍都是3的模反元素 {…,-18,-7,4,15,26,…},即如果b是a的模反元素,则 b+kn 都是a的模反元素。
欧拉定理可以用来证明模反元素必然存在。
可以看到,a的 φ(n)-1 次方,就是a的模反元素。
3.总结
至此RSA算法的需要的数学知识就讲完了,让我们来总结一下吧:
如果两个正整数,除了1以外没有其他公因子,我们就称这两个数是互质关系,比如4和15
任意给定正整数n,请问在小于等于n的正整数之中,有多少个与n构成互质关系?比如10以内的正整数有哪几个与10互质呢?计算这个值的方法就叫做欧拉函数,以φ(n)表示,φ(10)=4,以及欧拉函数的5种情况。
欧拉定理:如果两个正整数a和n互质,则n的欧拉函数 φ(n) 可以让下面的等式成立:
如果两个正整数a和n互质,那么一定可以找到整数b,使得 ab-1 被n整除,或者说ab被n除的余数是1,这时,b就叫做a的“模反元素”
好了,以上公式大家多看几遍,大概有个印象就可以的。下期我们将一起进入RSA算法的太和殿:RSA加解密过程及公式论证,我会为大家一步一步的推论,绝对会是最详细的一份RSA算法原理剖析,大家期待吧!
附手稿:
裸睡的猪(ID:IT--Pig)
作者:猪哥-Pythoner,禁止未授权转载,授权请私聊
共同學習,寫下你的評論
評論加載中...
作者其他優質文章













