驭洋 晓查 发自 凹非寺
量子位 出品
3.1415926……
π和e这样的基本常数在科学领域中无处不在,但计算它们的高精度近似值往往令人头大。如今,机器学习或许能帮上大忙。
能算近似值,还能在数学计算中快速找出精准规律,机器学习表示 I can I up。
这就是以色列理工学院和谷歌一起开发的拉马努金机器(Ramanujan Machine)。
拉马努金,这位英年早逝的天才数学家,总能发现一些让世人惊叹的数学公式。由他发现的圆周率π的计算公式,只需计算第一项就能突破普通计算器的最高精度。
拉马努金机器也有类似的奇效。面对各种奇怪复杂的数学常数,只要找出它的连分数表示,只需计算十几步、几毫秒就能快速收敛,得到精准答案。而且算法已经开源!
然而让拉马努金玩出花来的连分数可不是简简单单就能被找出来的,几个世纪以来,与基本常数相关的新数学公式十分少见,毕竟奠基人是欧拉、高斯这样堪称“变态”的天才,想要继承他们的事业,不仅要有丰富的知识积累,还要有敏锐的数学直觉。
而机器学习却表示,无需先验信息,我也能快速get新公式。
什么是连分数
优美的欧拉公式将e和π两个数学常数联系起来,但你知道这两个无理数是怎么算出来的吗?
你可以用泰勒展开的方法计算:
实际上还有另一种计算方法,那就是连分数,它的分母无限延伸下去,结果就会越来越接近:
黄金分割比φ=0.618……有着几乎最简单的连分数形式,一组全是1表示的数:
其他的数学尝试,包括自然对数的底e、圆周率π,还有黎曼猜想中黎曼Zeta函数ζ(3)的值。都可以用连分数来表示。
△π的连分数表示
任意实数都可以用连分数来表示。
连分数有何用
你如果认为连分数是数学家们的奇技淫巧,那就大错特错了,发现连分数的某个表达式有着实际的用途。
各种数学常数的连分数是存在却不是唯一的,如果找到一个合适的连分数,那么计算结果的收敛速度会非常快,大大减少计算机的运算量。
但是找到连分数里一组特殊的数却并不是一件容易的事情,否则这套算法也不会叫做拉马努金机器了。
△ 拉马努金发现的连分数,φ是黄金分割比
发现连分数里那些特殊整数的规律,需要有长年数学知识的积累,更要有易于常人的直觉。
现在有了拉马努金机器,可以用电脑代替人的思维去寻找特殊的连分数了。
有Reddit网友把拉马努金机器找到的公式写成Python代码,各算了一遍e和π,分别用了15步和18步的迭代,就能达到float 64的精度,也就是小数点后15位。
拉马努金机器不仅能算数学常数,如李维常数、辛钦常数,还能计算一些物理常数,如天文学计算中的拉普拉斯极限等等。
作者下一步的目标用它来做数学证明,发现数学常数的固有属性。比如e和π,我们都已经能证明他们是无理数而且是超越数,其他常数是不是无理数呢?以后或许可以用计算机来证明了。
算法介绍
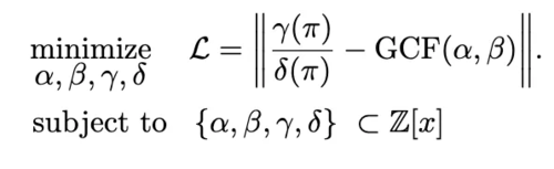
论文当中提到了两种算法。
第一种是中间相遇法(The Meet-In-The Middle)。这个算法的思路非常简单:
给定一个常数c(如 c=π),根据公式:
f1(x)=x,f2(x)=1/x ,……;GCF(α,β)代表 an=α(n),bn=β(n)的连分数;α,β,γ,δ为整数多项式。
先计算出公式右边一个精度较低的值,并将其存入哈希表,然后通过枚举的方法来使公式左右两边的值相匹配,匹配上的值称为“hits”,随后增加hits的精度并重新比较,重复这个过程直到hits达到指定精度。这个最终的结果就提供了一个新的连分数。
有些hits值会产生误报,针对这一点,研究人员提出通过计算任意精度的有理函数来减少误报。
在这个算法当中,由于公式右边的计算成本更高,所以将它的值以哈希表来存储,以空间换时间。这个哈希表也可以保存下来重新服务于公式左边的枚举,从而大大减少未来的枚举时间。
MITM-RF算法不需要任何关于基本常数的先验信息,不过有许多基本常数的结构是可以推断出来的,以此作为MITM-RF的先验信息可以有效降低空间复杂度和计算复杂度。
不过,MITM-RF方法还是存在扩展性不佳的问题,于是研究者使用到了机器学习当中常用的梯度下降方法,他们称其为Descent&Repel方法。
我们可以把优化问题描述成这个样子:
这里的最小值不是零维度点,而是(d-1)维的流形,其中d是给定的单一约束所预期的优化变量的数量。
研究者还观察到所有的最小值都是全局的,并且它们的误差为0,也就是说所有的梯度下降过程最后都会得到L=0的解。
这个优化问题起始于一个大的点的集合,在示例当中,所有初始条件被放置在一条线上。对每一个点迭代执行梯度下降,然后强制所有的点通过库仑排斥彼此排斥。通过梯度下降步骤保证算法朝向整数格并趋向最小曲线,最后仅返回位于整数格上的解。
网友的质疑
有Reddit网友认为,连分数通过等效变换可以获得无限多种组合这篇论文不是机器学习,它只是一种自动化查找新表达式的算法。
网友虽然反对将作者的结果称为机器学习,但它仍然是一种吸引人的算法,最有趣的是使用梯度下降优化整数分数,以前从未见过有人这么用过,因此是有创新性的。
对此,作者表示,是不是机器学习取决于你如何定义,文章中寻找新数学公式的算法是基于梯度下降的模型,因此可以看做是机器学习,今后他还将展示更直接地利用机器学习的其他结果。
至于发现新的连分数表达式,已经有前人的研究成果可供查询,而作者用拉马努金机器发现的很多结果已经被人类手工发现了。况且只要掌握了连分数的知识,就能发现各种表达式变体。
但这不正是拉马努金机器的魅力所在吗?如果你没有过人的数学头脑,就把特殊技巧交给计算机来做吧!
传送门
论文地址:
https://arxiv.org/pdf/1907.00205.pdf
源代码:
https://github.com/AnonGit90210/RamanujanMachine
连分数查询:
https://oeis.org/A003417
— 完 —
共同學習,寫下你的評論
評論加載中...
作者其他優質文章















