“ 这篇文章,我们来聊一聊在十亿级的大数据量技术挑战下,世界上最优秀的大数据系统之一的Hadoop是如何将系统性能提升数十倍的?
如果对Hadoop这个大数据系统一点了解都没有,可以先看之前的一篇文章快速入个门:《兄弟,用大白话告诉你小白都能看懂的Hadoop架构原理》
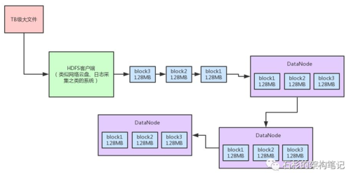
首先一起来画个图,回顾一下Hadoop HDFS中的超大数据文件上传的原理。
其实说出来也很简单,比如有个十亿数据量级的超大数据文件,可能都达到TB级了,此时这个文件实在是太大了。
此时,HDFS客户端会给拆成很多block,一个block就128MB。
这个HDFS客户端你可以理解为是云盘系统、日志采集系统之类的东西,比如有人上传一个1TB的大文件到网盘,或者是上传个1TB的大日志文件。
然后HDFS客户端把一个一个的block上传到第一个DataNode,第一个DataNode会把这个block复制一份,做一个副本发送给第二个DataNode,然后第二个DataNode发送一个block副本到第三个DataNode。
所以你会发现,一个block有3个副本,分布在三台机器上。任何一台机器宕机,数据是不会丢失的。
然后一个TB级大文件就被拆散成了N多个MB级的小文件存放在很多台机器上了,这不就是分布式存储么?
今天要讨论的问题,就是那个HDFS客户端上传TB级大文件的时候,到底是怎么上传呢?
如果用一个比较原始的方式来上传,我们大概能想到的是下面这个图里的样子。
其实很简单,无非就是不停的从本地磁盘文件用输入流读取数据,然后读到一点,就立马通过网络的输出流写到DataNode里去。
参见上图,对文件的输入流最多就是个FileInputStream,对DataNode的输出流,最多就是个Socket返回的OutputStream,然后中间找一个小的内存byte[]数组,进行流对考就行了。从本地文件读一点数据,就给DataNode发一点数据。
但是如果真是这么弄,性能真是极其的低下了,网络通信讲究的是适当频率,每次batch批量发送,你得读一大批数据,通过网络通信发一批数据。不能读一点点数据,就立马来一次网络通信,就发出去这一点点的数据。
如果按照上面这种原始的方式,绝对会导致网络通信效率极其低下,大文件上传性能很差。相当于你可能刚读出来几百个字节的数据,立马就写网络,卡顿个比如几百毫秒,然后再读下一批几百个字节的数据,再写网络卡顿个几百毫秒,这个性能很差,几乎在工业级的大规模分布式系统中,是无法容忍的。
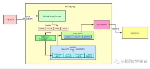
Hadoop中的大文件上传如何优化性能?我们来看看下面那张图。
你需要自己创建一个针对本地TB级磁盘文件的输入流,然后读到数据之后立马写入HDFS提供的FSDataOutputStream输出流。
这个FSDataOutputStream输出流在干啥呢?他会天真的立马把数据通过网络传输写给DataNode吗?
答案当然是否定的!这么干的话,不就跟之前的那种方式一样了!
1、Chunk缓冲机制
首先,数据会被写入一个chunk缓冲数组,这个chunk是一个512字节大小的数据片段,你可以这么来理解。
然后这个缓冲数组可以容纳多个chunk大小的数据在里面缓冲。光是这个缓冲,首先就可以让客户端快速的写入数据了,不至于说几百字节就要进行一次网络传输,对吧?
2、Packet数据包机制
接着,当chunk缓冲数组都写满了之后,就会把这个chunk缓冲数组进行一下chunk切割,切割为一个一个的chunk,一个chunk是一个数据片段。然后多个chunk会直接一次性写入另外一个内存缓冲数据结构,就是Packet数据包。
一个Packet数据包,设计为可以容纳127个chunk,大小大致为64mb。所以说大量的chunk会不断的写入Packet数据包的内存缓冲中。通过这个Packet数据包机制的设计,又可以在内存中容纳大量的数据,进一步避免了频繁的网络传输影响性能。
3、内存队列异步发送机制
当一个Packet被塞满了chunk之后,就会将这个Packet放入一个内存队列来进行排队,然后有一个DataStreamer线程会不断的获取队列中的Packet数据包,通过网络传输直接写一个Packet数据包给DataNode。
如果一个Block默认是128mb的话,那么一个Block默认会对应两个Packet数据包,每个Packet数据包是64MB。
也就是说传送两个Packet数据包DataNode之后,就会发一个通知说,一个Block的数据都传输完毕,那DataNode就知道自己收到了一个Block了,包含了人家发送过来的两个Packet数据包。
总结:
ok,大家看完了上面的那个图以及hadoop采取的大文件上传机制,是不是感觉设计的很巧妙?
工业级的大规模分布式系统,都不会采取特别简单的代码和模式,那样性能很低下。这里都有大量的并发优化、网络IO优化、内存优化、磁盘读写优化的架构设计、生产方案在里面。
所以大家观察上面那个图,hdfs客户端可以快速的将tb级大文件的数据读出来,然后快速的交给hdfs的输出流写入内存,基于内存里的chunk缓冲机制、packet数据包机制、内存队列异步发送机制,绝对不会有任何网络传输的卡顿,导致大文件的上传速度变慢。反而通过上述几种机制,可以大幅度提升一个TB级大文件的上传性能。
END
石杉的架构笔记(id:shishan100)
作者:中华石杉,多年BAT架构经验倾囊相授
共同學習,寫下你的評論
評論加載中...
作者其他優質文章


