Floyd-Warshall 算法采用动态规划方案来解决在一个有向图 G = (V, E) 上每对顶点间的最短路径问题,即全源最短路径问题(All-Pairs Shortest Paths Problem),其中图 G 允许存在权值为负的边,但不存在权值为负的回路。Floyd-Warshall 算法的运行时间为 Θ(V3)。
Floyd-Warshall 算法由 Robert Floyd 于 1962 年提出,但其实质上与 Bernad Roy 于 1959 年和 Stephen Warshall 于 1962 年提出的算法相同。
解决单源最短路径问题的方案有 Dijkstra 算法和 Bellman-Ford 算法,对于全源最短路径问题可以认为是单源最短路径问题(Single Source Shortest Paths Problem)的推广,即分别以每个顶点作为源顶点并求其至其它顶点的最短距离。更通用的全源最短路径算法包括:
针对稠密图的 Floyd-Warshall 算法:时间复杂度为 O(V3);
针对稀疏图的 Johnson 算法:时间复杂度为 O(V2logV + VE);
最短路径算法中的最优子结构指的是两顶点之间的最短路径包括路径上其它顶点的最短路径。具体描述为:对于给定的带权图 G = (V, E),设 p = <v1, v2, …,vk> 是从 v1 到 vk 的最短路径,那么对于任意 i 和 j,1 ≤ i ≤ j ≤ k,pij = <vi, vi+1, …, vj> 为 p 中顶点 vi 到 vj 的子路径,那么 pij 是顶点 vi 到 vj 的最短路径。
Floyd-Warshall 算法的设计基于了如下观察。设带权图 G = (V, E) 中的所有顶点 V = {1, 2, . . . , n},考虑一个顶点子集 {1, 2, . . . , k}。对于任意对顶点 i, j,考虑从顶点 i 到 j 的所有路径的中间顶点都来自该子集 {1, 2, . . . , k},设 p 是该子集中的最短路径。Floyd-Warshall 算法描述了 p 与 i, j 间最短路径及中间顶点集合 {1, 2, . . . , k - 1} 的关系,该关系依赖于 k 是否是路径 p 上的一个中间顶点。
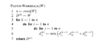
算法伪码如下:
最短路径算法的设计都使用了松弛(relaxation)技术。在算法开始时只知道图中边的权值,然后随着处理逐渐得到各对顶点的最短路径的信息,算法会逐渐更新这些信息,每步都会检查是否可以找到一条路径比当前已有路径更短,这一过程通常称为松弛(relaxation)。
C# 代码实现:
1 using System;
2 using System.Collections.Generic;
3 using System.Linq;
4
5 namespace GraphAlgorithmTesting
6 {
7 class Program
8 {
9 static void Main(string[] args)
10 {
11 int[,] graph = new int[9, 9]
12 {
13 {0, 4, 0, 0, 0, 0, 0, 8, 0},
14 {4, 0, 8, 0, 0, 0, 0, 11, 0},
15 {0, 8, 0, 7, 0, 4, 0, 0, 2},
16 {0, 0, 7, 0, 9, 14, 0, 0, 0},
17 {0, 0, 0, 9, 0, 10, 0, 0, 0},
18 {0, 0, 4, 0, 10, 0, 2, 0, 0},
19 {0, 0, 0, 14, 0, 2, 0, 1, 6},
20 {8, 11, 0, 0, 0, 0, 1, 0, 7},
21 {0, 0, 2, 0, 0, 0, 6, 7, 0}
22 };
23
24 Graph g = new Graph(graph.GetLength(0));
25 for (int i = 0; i < graph.GetLength(0); i++)
26 {
27 for (int j = 0; j < graph.GetLength(1); j++)
28 {
29 if (graph[i, j] > 0)
30 g.AddEdge(i, j, graph[i, j]);
31 }
32 }
33
34 Console.WriteLine("Graph Vertex Count : {0}", g.VertexCount);
35 Console.WriteLine("Graph Edge Count : {0}", g.EdgeCount);
36 Console.WriteLine();
37
38 int[,] distSet = g.FloydWarshell();
39 PrintSolution(g, distSet);
40
41 // build a directed and negative weighted graph
42 Graph directedGraph1 = new Graph(5);
43 directedGraph1.AddEdge(0, 1, -1);
44 directedGraph1.AddEdge(0, 2, 4);
45 directedGraph1.AddEdge(1, 2, 3);
46 directedGraph1.AddEdge(1, 3, 2);
47 directedGraph1.AddEdge(1, 4, 2);
48 directedGraph1.AddEdge(3, 2, 5);
49 directedGraph1.AddEdge(3, 1, 1);
50 directedGraph1.AddEdge(4, 3, -3);
51
52 Console.WriteLine();
53 Console.WriteLine("Graph Vertex Count : {0}", directedGraph1.VertexCount);
54 Console.WriteLine("Graph Edge Count : {0}", directedGraph1.EdgeCount);
55 Console.WriteLine();
56
57 int[,] distSet1 = directedGraph1.FloydWarshell();
58 PrintSolution(directedGraph1, distSet1);
59
60 // build a directed and positive weighted graph
61 Graph directedGraph2 = new Graph(4);
62 directedGraph2.AddEdge(0, 1, 5);
63 directedGraph2.AddEdge(0, 3, 10);
64 directedGraph2.AddEdge(1, 2, 3);
65 directedGraph2.AddEdge(2, 3, 1);
66
67 Console.WriteLine();
68 Console.WriteLine("Graph Vertex Count : {0}", directedGraph2.VertexCount);
69 Console.WriteLine("Graph Edge Count : {0}", directedGraph2.EdgeCount);
70 Console.WriteLine();
71
72 int[,] distSet2 = directedGraph2.FloydWarshell();
73 PrintSolution(directedGraph2, distSet2);
74
75 Console.ReadKey();
76 }
77
78 private static void PrintSolution(Graph g, int[,] distSet)
79 {
80 Console.Write("\t");
81 for (int i = 0; i < g.VertexCount; i++)
82 {
83 Console.Write(i + "\t");
84 }
85 Console.WriteLine();
86 Console.Write("\t");
87 for (int i = 0; i < g.VertexCount; i++)
88 {
89 Console.Write("-" + "\t");
90 }
91 Console.WriteLine();
92 for (int i = 0; i < g.VertexCount; i++)
93 {
94 Console.Write(i + "|\t");
95 for (int j = 0; j < g.VertexCount; j++)
96 {
97 if (distSet[i, j] == int.MaxValue)
98 {
99 Console.Write("INF" + "\t");
100 }
101 else
102 {
103 Console.Write(distSet[i, j] + "\t");
104 }
105 }
106 Console.WriteLine();
107 }
108 }
109
110 class Edge
111 {
112 public Edge(int begin, int end, int weight)
113 {
114 this.Begin = begin;
115 this.End = end;
116 this.Weight = weight;
117 }
118
119 public int Begin { get; private set; }
120 public int End { get; private set; }
121 public int Weight { get; private set; }
122
123 public override string ToString()
124 {
125 return string.Format(
126 "Begin[{0}], End[{1}], Weight[{2}]",
127 Begin, End, Weight);
128 }
129 }
130
131 class Graph
132 {
133 private Dictionary<int, List<Edge>> _adjacentEdges
134 = new Dictionary<int, List<Edge>>();
135
136 public Graph(int vertexCount)
137 {
138 this.VertexCount = vertexCount;
139 }
140
141 public int VertexCount { get; private set; }
142
143 public int EdgeCount
144 {
145 get
146 {
147 return _adjacentEdges.Values.SelectMany(e => e).Count();
148 }
149 }
150
151 public void AddEdge(int begin, int end, int weight)
152 {
153 if (!_adjacentEdges.ContainsKey(begin))
154 {
155 var edges = new List<Edge>();
156 _adjacentEdges.Add(begin, edges);
157 }
158
159 _adjacentEdges[begin].Add(new Edge(begin, end, weight));
160 }
161
162 public int[,] FloydWarshell()
163 {
164 /* distSet[,] will be the output matrix that will finally have the shortest
165 distances between every pair of vertices */
166 int[,] distSet = new int[VertexCount, VertexCount];
167
168 for (int i = 0; i < VertexCount; i++)
169 {
170 for (int j = 0; j < VertexCount; j++)
171 {
172 distSet[i, j] = int.MaxValue;
173 }
174 }
175 for (int i = 0; i < VertexCount; i++)
176 {
177 distSet[i, i] = 0;
178 }
179
180 /* Initialize the solution matrix same as input graph matrix. Or
181 we can say the initial values of shortest distances are based
182 on shortest paths considering no intermediate vertex. */
183 foreach (var edge in _adjacentEdges.Values.SelectMany(e => e))
184 {
185 distSet[edge.Begin, edge.End] = edge.Weight;
186 }
187
188 /* Add all vertices one by one to the set of intermediate vertices.
189 ---> Before start of a iteration, we have shortest distances between all
190 pairs of vertices such that the shortest distances consider only the
191 vertices in set {0, 1, 2, .. k-1} as intermediate vertices.
192 ---> After the end of a iteration, vertex no. k is added to the set of
193 intermediate vertices and the set becomes {0, 1, 2, .. k} */
194 for (int k = 0; k < VertexCount; k++)
195 {
196 // Pick all vertices as source one by one
197 for (int i = 0; i < VertexCount; i++)
198 {
199 // Pick all vertices as destination for the above picked source
200 for (int j = 0; j < VertexCount; j++)
201 {
202 // If vertex k is on the shortest path from
203 // i to j, then update the value of distSet[i,j]
204 if (distSet[i, k] != int.MaxValue
205 && distSet[k, j] != int.MaxValue
206 && distSet[i, k] + distSet[k, j] < distSet[i, j])
207 {
208 distSet[i, j] = distSet[i, k] + distSet[k, j];
209 }
210 }
211 }
212 }
213
214 return distSet;
215 }
216 }
217 }
218 }运行结果如下:
共同學習,寫下你的評論
評論加載中...
作者其他優質文章



