在文章《Union-Find 操作检测无向图有无环算法》中介绍了 Union-Find 算法的一个简单实现,使用一维数组来处理不相交集合数据结构(Disjoint-set data structure)。
Union-Find 算法为该数据结构提供了两种非常有用的操作:
Find:判断子集中是否存在特定的元素。可以用于检测是否两个元素存在于相同的子集中。
Union:将两个不子集合并成新的子集合。
1 private int Find(int[] parent, int i)
2 {
3 if (parent[i] == -1)
4 return i;
5 return Find(parent, parent[i]);
6 }
7
8 private void Union(int[] parent, int x, int y)
9 {
10 int xset = Find(parent, x);
11 int yset = Find(parent, y);
12 parent[xset] = yset;
13 }上述算法的实现的运行时间是 O(n)。
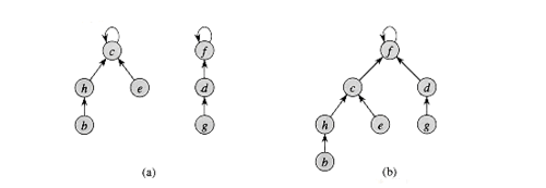
另一种实现方式是使用有根树来表示集合,树中的每个节点都包含集合的一个成员,每棵树表示一个集合,形成不相交集合森林(Disjoint-set forest)。每棵树的根包含了集合的代表,并且是它自己的父节点。
如上图中,(a) 中两棵树表示两个集合 {b, c, e, h} 和 {d, f, g},其中 c 和 f 是代表。(b) 为 Union(e, g) 的结果。
实际上,上面这种树的表示法不会比采用链表表示的算法更快。但是,通过引入两种启发式策略,可以获得目前已知的、渐进意义上最快的不想交集合数据结构。
第一种启发式策略是按秩合并(Union by Rank),其思想是使包含较少节点的树的根指向包含较多节点的树的根。
第二种启发式策略是路径压缩(Path Compression),在 Find 操作中,使查找路径上的每个节点都直接指向根节点。路径压缩并不改变节点的秩(Rank)。
如上图中,(a) 为执行 Find 操作之前的表示集合的树;(b) 为执行 Find(a) 操作后的树,查找路径上的每个节点都直接指向了根。
通过两种启发式策略对运行时间的改进,新的算法的运行时间为 O(logn)。
1 using System;
2 using System.Collections.Generic;
3 using System.Linq;
4
5 namespace GraphAlgorithmTesting
6 {
7 class Program
8 {
9 static void Main(string[] args)
10 {
11 Graph g = new Graph(6);
12 g.AddEdge(0, 1, 16);
13 g.AddEdge(0, 2, 13);
14 g.AddEdge(1, 2, 10);
15 g.AddEdge(1, 3, 12);
16 //g.AddEdge(2, 1, 4);
17 g.AddEdge(2, 4, 14);
18 //g.AddEdge(3, 2, 9);
19 g.AddEdge(3, 5, 20);
20 //g.AddEdge(4, 3, 7);
21 //g.AddEdge(4, 5, 4);
22
23 Console.WriteLine();
24 Console.WriteLine("Graph Vertex Count : {0}", g.VertexCount);
25 Console.WriteLine("Graph Edge Count : {0}", g.EdgeCount);
26 Console.WriteLine();
27
28 Console.WriteLine("Is there cycle in graph: {0}", g.HasCycle());
29
30 Console.ReadKey();
31 }
32
33 class Edge
34 {
35 public Edge(int begin, int end, int weight)
36 {
37 this.Begin = begin;
38 this.End = end;
39 this.Weight = weight;
40 }
41
42 public int Begin { get; private set; }
43 public int End { get; private set; }
44 public int Weight { get; private set; }
45
46 public override string ToString()
47 {
48 return string.Format(
49 "Begin[{0}], End[{1}], Weight[{2}]",
50 Begin, End, Weight);
51 }
52 }
53
54 class Subset
55 {
56 public int Parent { get; set; }
57 public int Rank { get; set; }
58 }
59
60 class Graph
61 {
62 private Dictionary<int, List<Edge>> _adjacentEdges
63 = new Dictionary<int, List<Edge>>();
64
65 public Graph(int vertexCount)
66 {
67 this.VertexCount = vertexCount;
68 }
69
70 public int VertexCount { get; private set; }
71
72 public IEnumerable<int> Vertices { get { return _adjacentEdges.Keys; } }
73
74 public IEnumerable<Edge> Edges
75 {
76 get { return _adjacentEdges.Values.SelectMany(e => e); }
77 }
78
79 public int EdgeCount { get { return this.Edges.Count(); } }
80
81 public void AddEdge(int begin, int end, int weight)
82 {
83 if (!_adjacentEdges.ContainsKey(begin))
84 {
85 var edges = new List<Edge>();
86 _adjacentEdges.Add(begin, edges);
87 }
88
89 _adjacentEdges[begin].Add(new Edge(begin, end, weight));
90 }
91
92 private int Find(Subset[] subsets, int i)
93 {
94 // find root and make root as parent of i (path compression)
95 if (subsets[i].Parent != i)
96 subsets[i].Parent = Find(subsets, subsets[i].Parent);
97
98 return subsets[i].Parent;
99 }
100
101 private void Union(Subset[] subsets, int x, int y)
102 {
103 int xroot = Find(subsets, x);
104 int yroot = Find(subsets, y);
105
106 // Attach smaller rank tree under root of high rank tree
107 // (Union by Rank)
108 if (subsets[xroot].Rank < subsets[yroot].Rank)
109 subsets[xroot].Parent = yroot;
110 else if (subsets[xroot].Rank > subsets[yroot].Rank)
111 subsets[yroot].Parent = xroot;
112
113 // If ranks are same, then make one as root and increment
114 // its rank by one
115 else
116 {
117 subsets[yroot].Parent = xroot;
118 subsets[xroot].Rank++;
119 }
120 }
121
122 public bool HasCycle()
123 {
124 Subset[] subsets = new Subset[VertexCount];
125 for (int i = 0; i < subsets.Length; i++)
126 {
127 subsets[i] = new Subset();
128 subsets[i].Parent = i;
129 subsets[i].Rank = 0;
130 }
131
132 // Iterate through all edges of graph, find subset of both
133 // vertices of every edge, if both subsets are same,
134 // then there is cycle in graph.
135 foreach (var edge in this.Edges)
136 {
137 int x = Find(subsets, edge.Begin);
138 int y = Find(subsets, edge.End);
139
140 if (x == y)
141 {
142 return true;
143 }
144
145 Union(subsets, x, y);
146 }
147
148 return false;
149 }
150 }
151 }
152 }共同學習,寫下你的評論
評論加載中...
作者其他優質文章


